Organovanadium chemistry
Organovanadium chemistry is the chemistry of organometallic compounds containing a carbon to vanadium (V) chemical bond.[1] Organovanadium compounds are of some relevance to organic synthesis and to polymer chemistry as reagents and catalysts.
Oxidation states for vanadium are +2, +3, +4 and +5. Low valency vanadium is usually stabilized with carbonyl ligands. Oxo ligands for example in vanadyl ions are common when the valency increases. In most compounds outside the oxidation state of +5, vanadium is paramagnetic hampering NMR spectroscopy. Typical vanadium precursors are vanadium(III) chloride and its adduct with THF VCl3(THF)3 and vanadium tetrachloride.
Synthesis
Common ligands for vanadium are carbonyl, phosphine and cyclopentadienyl.
Vanadium carbonyl can be prepared from vanadium(II) chloride, vanadium oxytrichloride or vanadium acetylacetonate in reaction with carbon monoxide, pyridine and magnesium or zinc as reducing agent [2]
The hexacarbonylvanadate ion can be prepared in from VCl3:
Vanadocene dichloride is prepared from sodium cyclopentadienyl:
- 2NaC5H5 + VCl4 → VCp2Cl2 + 2NaCl
Reduction of this compound gives the parent vanadocene (Cp)2V:[3]
- VCp2Cl2 + LiAlH4 → V(Cp)2
Vanadocene is the first stable metallocene in the transition metals. Titanocene and zirconocene only exist as the dichlorides titanocene dichloride and zirconocene dichloride.[4] It reacts as a metal carbene to alkyne and nitrile ligands and is also used as a reducing agent.
Indene can also be a ligand:
- VCl3(THF)3 + Zn → [VCl2(THF)]n
- VCl2(THF)]n + Na(indenyl) → V(C9H7)2
and benzene:
- VCl4 + AlCl3 + C6H6 → [V(η6C6H6)2][AlH4]
- [V(η6C6H6)2][AlH4] + H2O → V(η6C6H6)2
Many η1 alkyl and aryl complexes exist for example with mesitylene groups:
- VCl3(THF)3 + (mes)MgBr → V(mes)3(THF)
- V(mes)3(THF) + LiMes → Li[V(mes)4]
- Li[V(mes)4] + air → V(mes)4(THF)
or norbornyl groups:
- VCl4 + Li(norbornyl) → V(norbornyl)4
Vanadium oxytrichloride is a starting material for vanadium(V) compounds:
- VOCl3 + Li(mes) → Li[VO(mes)3]
- Li[VO(mes)3] + chloranil → VO(mes)3
- VOCl3 + ZnPh2 → VOPhCl2
Reactions
Vanadium compounds appear as catalysts and reagents in several specific reactions.[5] Two main reactions are coupling reactions:
- VCl3 + RLi + R'-CHO → R-C(O)-R'
and insertion reaction into the C-V bond for example in a sequence forming acetone:
- CpVCl2(PPh3)2 + MeLi → CpVMe2(PPh3)2
- CpVMe2(PPh3)2 + CO → CpVCO2(PPh3)2 + Me-C(O)-Me
Higher group 5 organometallics
In organoniobium (Nb) and organotantalum (Ta) chemistry the oxidation state +5 is favored with convenient starting materials niobium(V) chloride and tantalum(V) chloride. In high oxidation states Nb and Ta compounds resemble that of group 4 elements being strongly oxophilic with strong resistance to reduction. In low oxidation states Nb and Ta compounds resemble group 6 elements with ease of formation of metal-metal bonds. Both group 5 & 6 elements form multiple bonds with non-metal ligands as in metal carbenes, nitrenes, oxides and sulfide for example in a Ta=C metal carbene:
TaCp(CH2Ph)3Cl + Ph3P=CH2 → CpTa(=CHPh)(CH2Ph)2
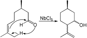
Niobocene dichloride is a metallocene and NbCl5 is a Lewis acid catalyst in carbonyl-ene reactions for example:[6]
See also
- Chemical bonds of carbon with other elements in the periodic table:
| CH | He | ||||||||||||||||
| CLi | CBe | CB | CC | CN | CO | CF | Ne | ||||||||||
| CNa | CMg | CAl | CSi | CP | CS | CCl | CAr | ||||||||||
| CK | CCa | CSc | CTi | CV | CCr | CMn | CFe | CCo | CNi | CCu | CZn | CGa | CGe | CAs | CSe | CBr | CKr |
| CRb | CSr | CY | CZr | CNb | CMo | CTc | CRu | CRh | CPd | CAg | CCd | CIn | CSn | CSb | CTe | CI | CXe |
| CCs | CBa | CHf | CTa | CW | CRe | COs | CIr | CPt | CAu | CHg | CTl | CPb | CBi | CPo | CAt | Rn | |
| Fr | CRa | Rf | Db | CSg | Bh | Hs | Mt | Ds | Rg | Cn | Nh | Fl | Mc | Lv | Ts | Og | |
| ↓ | |||||||||||||||||
| CLa | CCe | CPr | CNd | CPm | CSm | CEu | CGd | CTb | CDy | CHo | CEr | CTm | CYb | CLu | |||
| Ac | CTh | CPa | CU | CNp | CPu | CAm | CCm | CBk | CCf | CEs | Fm | Md | No | Lr | |||
| Core organic chemistry | Many uses in chemistry |
| Academic research, but no widespread use | Bond unknown |
References
- ↑ Synthesis of Organometallic Compounds: A Practical Guide Sanshiro Komiya Ed. 1997
- ↑ SYNTHESIS OF VANADIUM HEXACARBONYL R. Ercoli, F. Calderazzo, A. Alberola J. Am. Chem. Soc., 1960, 82 (11), pp 2966–2967 doi:10.1021/ja01496a073
- ↑ The reduction of bis-cyclopentadienyl compounds J. M. Birmingham, A. K. Fischer and G. Wilkinson Naturwissenschaften Volume 42, Number 4 / January, 1955 doi:10.1007/BF00617242
- ↑ Adventures in Vanadocene Chemistry Robert Choukroun, and Christian Lorber Eur. J. Inorg. Chem. 2005, 4683–4692 doi:10.1002/ejic.200500371
- ↑ Vanadium in Modern Organic Synthesis Toshikazu Hirao Chemical Reviews, 1997, Vol. 97, No. 8 2707
- ↑ C. K. Z. Andrade, O. E. Vercillo, J. P. Rodrigues, D. P. Silveira in: J. Braz. Chem. Soc. 2004, 15, 6, 813–817.
