Noyori asymmetric hydrogenation

In chemistry, the Noyori asymmetric hydrogenation of ketones is a chemical reaction for the enantioselective hydrogenation of ketone, aldehydes, and imines. This reaction exploits using chiral ruthenium catalysts introduced by Ryoji Noyori.[1] He shared half of the Nobel Prize in Chemistry in 2001 with William S. Knowles for the study of the asymmetric hydrogenation.

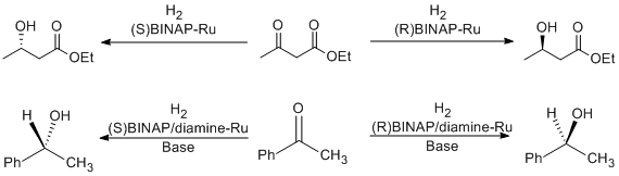
BINAP-Ru catalyst is used for the asymmetric hydrogenation of functionalized ketones[2] and BINAP/diamine-Ru catalyst is used for the asymmetric hydrogenation of simple ketones.[3] These hydrogenations are used in the production of several drugs, such as the antibacterial levofloxin, the antibiotic carbapenem, and the antipsychotic agent BMS181100.[4]

History

The stoichiometric asymmetric reduction of ketones has long been known,[5] but a practical catalytic version was introduced by Noyori et al.[6] While the BINAP-Ru dicarboxylate could only efficiently catalyze the hydrogenation of olefins, the BINAP-Ru dihalide could catalyze both the hydrogenation of olefins and the hydrogenation of functionalized C=O bond.[7]

Even though the BINAP-Ru dihalide catalyst could reduce functionalized ketones, the hydrogenation of simple ketones has remained a challenge. In 1995, Noyori discovered that the RuCl2 (diphosphane)2 (diamine)2 complex can catalyze the hydrogenation of simple ketones.[8] This system also had chemoselectivity on C=O bond over the C=C bond.[9] The diastereoselectivity[10] and the enantioselectivity[3] could be achieved at the same time using chiral BINAP ligand.

Mechanism and Selectivity

BINAP-Ru

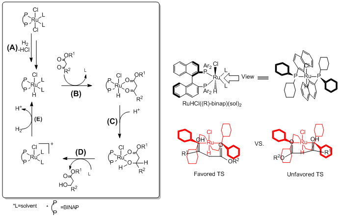
(A) The BINAP-Ru dihalide precatalyst gets hydride from H2 and forms Ru-monohydride Reaction intermediate while giving off HCl.[11] (B) The ruthenium center of the catalyst coordinates to the oxygen atoms in the ester compound. Because of the chirality of the BINAP ligand, one of the two possible diastereomeric transition states is favored (The transition state on the left is favored over the other because of the large R1/ Ph steric hindrance). (C) Ester gets proton, and hydride transfers from the catalyst to the carbonyl carbon. (D) Hydrogenated ester compound leaves the catalyst and solvent coordinate back to the catalyst. The (R)-BINAP-Ru catalyze the synthesis the (R)-Product, and the (S)-BINAP Ru catalyze the synthesis the (S)-product with high ee.[1] (E) Again, the dehydrated BINAP-Ru catalyst is utilized by the addition of another hydride from H2. The newly activated Ru-monohydride re-participates in the catalytic cycle.

BINAP/diamine-Ru

In BINAP-Ru catalytic system, the hydrogenation of functionalized ketone is catalyzed by a four-center transition state(Transition state model on the right) which forms a metal alkoxide intermediate. Unlike the BINAP-Ru, the BINAP/diamine-Ru catalytic system forms the six membered pericyclic transition state(Transition state model on the left) which directly leads to the product. This non-classical metal-ligand bifunctional transition state facilitates the hydrogenation of C=O bond with higher rate and the higher chemoselectivity.[9]

The RuCl2 (diphosphane)2 (diamine)2 catalyst can hydrogenate simple cyclic ketones diastereoselectively.[10] In the presence of base, cyclic ketones are deprotonated and racemized. In the transition state, the ruthenium monohydride moiety acts as a bulky group (marked red on the scheme below). The product is predictable in the way that the catalyst approaches from the less hindered side.(see also Dynamic kinetic resolution)

The chirality of the diamine ligand made it possible for the BINAP/diamine-Ru complex possible to reduce simple ketones enantioselectively. Due to the steric hindrance between the BINAP ligand and the large substituent group on ketone (phenyl ring on the scheme below), the less steric hindered transition state is favored as expected.[3] The simple ketones include aromatic, heteroaromatic, and alkenyl ketones.

(A) The ruthenium (diphosphane)2 (diamine)2 complex is activated by the addition of the hydrogen gas. (B) The activated catalyst transfers hydrogen and hydride chemoselectively to the ketone through a pericyclic transition state.[9](C)(D)(E)The ruthenium complex can then react with hydrogen to reform the ruthenium dihydride with the assistance of base.

Substrate scope

BINAP-Ru

Further developed from previously introduced BINAP-Ru dicarboxylate catalyst, the BINAP-Ru dihalide catalyzes the asymmetric hydrogenation of various α-,β- functionalized ketones.[6] The reaction is limited to ketones that are functionalized with nearby N,O or halide substituents.

BINAP/diamine-Ru

Unlike the BINAP-Ru dihalide catalyst that requires functionalized ketone, the BINAP/diamine-Ru catalyst is effective for the asymmetric reduction of both functionalized and simple ketones,[10] and BINAP/diamine-Ru catalyst can catalyze aromatic, heteroaromatic, and olefinic ketones enantioselectively.[3] Better stereoselectivity is achieved when one substituent is larger than the other (see Flippin-Lodge angle).

Industrial applications

An antibacterial levofloxacin is synthesized using (R)-1,2-propandiol, which is synthesized from hydroxyacetone using Noyori asymmetric hydrogenation (Takasago Co./Daiichi Pharmaceutical Co.).[4]

An antibiotic carbapenem is also prepared using Noyori asymmetric hydrogenation via (2S,3R)-methyl 2-(benzamidomethyl)-3-hydroxybutanoate, which is synthesized from racemic methyl 2-(benzamidomethyl)-3-oxobutanoate by dynamic kinetic resolution.

An antipsychotic agent BMS 181100 is synthesized using BINAP/diamine-Ru catalyst.

See also

References

  1. 1 2 Noyori, R.; Ohkuma, T.; Kitamura, M.; Takaya, H.; Sayo, N.; Kumobayashi, H.; Akutagawa, S. (1987), "Asymmetric hydrogenation of .beta.-keto carboxylic esters. A practical, purely chemical access to .beta.-hydroxy esters in high enantiomeric purity", Journal of the American Chemical Society, 109: 5856, doi:10.1021/ja00253a051
  2. Mashima, K.; Kusano, K.-h.; Sato, N.; Matsumura, Y.-i.; Nozaki, K.; Kumobayashi, H.; Sayo, N.; Hori, Y.; Ishizaki, T. (1994), "Cationic BINAP-Ru(II) Halide Complexes: Highly Efficient Catalysts for Stereoselective Asymmetric Hydrogenation of .alpha.- and .beta.-Functionalized Ketones", The Journal of Organic Chemistry, 59: 3064, doi:10.1021/jo00090a026
  3. 1 2 3 4 Noyori, R.; Ohkuma, T. (2001), "Asymmetric Catalysis by Architectural and Functional Molecular Engineering: Practical Chemo- and Stereoselective Hydrogenation of Ketones", Angewandte Chemie International Edition, 40: 40, doi:10.1002/1521-3773(20010105)40:1<40::aid-anie40>3.0.co;2-5
  4. 1 2 Noyori, R. (2002), "Asymmetric Catalysis: Science and Opportunities (Nobel Lecture)", Angewandte Chemie International Edition, 41: 2008, doi:10.1002/1521-3773(20020617)41:12<2008::aid-anie2008>3.0.co;2-4
  5. Ramachandran, P. V.; ,Brown, H. C. (1996), "Recent Advances in Asymmetric Reductions with B-Chlorodiisopinocampheylborane", Journal of the American Chemical Society, 641: 84, doi:10.1021/bk-1996-0641.ch005
  6. 1 2 Mashima, K.; Kusano, K.-h.; Sato, N.; Matsumura, Y.-i.; Nozaki, K.; Kumobayashi, H.; Sayo, N.; Hori, Y.; Ishizaki, T. (1994), "Cationic BINAP-Ru(II) Halide Complexes: Highly Efficient Catalysts for Stereoselective Asymmetric Hydrogenation of .alpha.- and .beta.-Functionalized Ketones", The Journal of Organic Chemistry, 59: 3064, doi:10.1021/jo00090a026
  7. Kitamura, M.; Ohkuma, T.; Inoue, S.; Sayo, N.; Kumobayashi, H.; Akutagawa, S.; Ohta, T.; Takaya, H.; Noyori, R. (1988), "Homogeneous asymmetric hydrogenation of functionalized ketones", Journal of the American Chemical Society, 110: 629, doi:10.1021/ja00210a070
  8. Ohkuma, T.; Ooka, H.; Hashiguchi, S.; Ikariya, T.; Noyori, R. (1995), "Practical Enantioselective Hydrogenation of Aromatic Ketones", Journal of the American Chemical Society, 117: 2675, doi:10.1021/ja00114a043
  9. 1 2 3 Ohkuma, T.; Ooka, H.; Ikariya, T.; Noyori, R. (1995), "Preferential hydrogenation of aldehydes and ketones", Journal of the American Chemical Society, 117: 10417, doi:10.1021/ja00146a041
  10. 1 2 3 Ohkuma, T.; Ooka, H.; Yamakawa, M.; Ikariya, T.; Noyori, R. (1996), "Stereoselective Hydrogenation of Simple Ketones Catalyzed by Ruthenium(II) Complexes", The Journal of Organic Chemistry, 61: 4872, doi:10.1021/jo960997h
  11. Kitamura, M.; Tokunaga, M.; Noyori, R. (1993), "Quantitative expression of dynamic kinetic resolution of chirally labile enantiomers: stereoselective hydrogenation of 2-substituted 3-oxo carboxylic esters catalyzed by BINAP-ruthenium(II) complexes", Journal of the American Chemical Society, 115: 144, doi:10.1021/ja00054a020
This article is issued from Wikipedia - version of the 6/5/2016. The text is available under the Creative Commons Attribution/Share Alike but additional terms may apply for the media files.