Methoxymethylenetriphenylphosphine
Methoxymethylenetriphenylphosphine is a Wittig reagent with used as an reagent in the homologization of aldehydes and ketones to extended aldehydes, an organic reaction first reported in 1958 . This reagent is quite unstable to even mild temperatures and water. As such it must be made in situ, taking on a blood red color, indicative of destabilized ylides.
Preparation
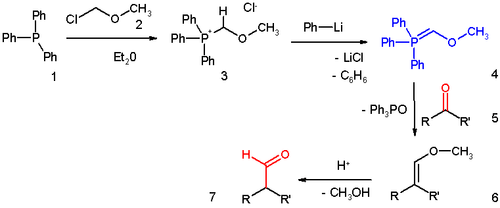
The reagent can be prepared (scheme 1) by reaction of triphenylphosphine 1 with chloromethyl methyl ether 2 in diethyl ether to the phosphonium salt 3. 3 can also be prepared from triphenylphosphine, methylal and acetyl chloride, a reaction avoiding the costly and carcinogenic chloroalkyl ether and especially useful for large batches.
This salt is deprotonated to the phosphonium ylide Methoxymethylenetriphenylphosphine 4 by phenyllithium.

Uses
This reagent reacts with a ketone or aldehyde 5 in a Wittig reaction to the enol ether 6, which can be converted to the aldehyde 7 by the application of an acid.
The reaction has been applied to the steroid tigogenone (scheme 2) and in the Wender Taxol total synthesis and in the Stork quinine total synthesis.

References
- ^ A new aldehyde synthesis Samuel G. Levine J. Am. Chem. Soc.; 1958; 80(22); 6150-6151. Abstract