List of operators
In mathematics, an operator or transform is a function from one space of functions to another. Operators occur commonly in engineering, physics and mathematics. Many are integral operators and differential operators.
In the following L is an operator
which takes a function
to another function
. Here,
and
are some unspecified function spaces, such as Hardy space, Lp space, Sobolev space, or, more vaguely, the space of holomorphic functions.
| Expression | Curve definition |
Variables | Description |
|---|---|---|---|
| Linear transformations | |||
![]() | Derivative of nth order | ||
| Cartesian | ![]() ![]() | Integral, area |
![]() | Composition operator | ||
![]() | Even component | ||
![]() | Odd component | ||
![]() | Difference operator | ||
![]() | Backward difference (Nabla operator) | ||
![]() | Indefinite sum operator (inverse operator of difference) | ||
![]() | Sturm–Liouville operator | ||
| Non-linear transformations | |||
| Inverse function | ||
![]() | Legendre transformation | ||
![]() | Left composition | ||
![]() | Indefinite product | ||
![]() | Logarithmic derivative | ||
![]() | Elasticity | ||
![]() | Schwarzian derivative | ||
![]() | Total variation | ||
![]() | Arithmetic mean | ||
| Geometric mean | ||
![]() | Cartesian | ![]() ![]() | Subtangent |
![]() | Parametric Cartesian | ![]() ![]() | |
![]() | Polar | ![]() | |
![]() | Polar | ![]() | Sector area |
![]() | Cartesian | ![]() ![]() | Arc length |
![]() | Parametric Cartesian | ![]() ![]() | |
![]() | Polar | ![]() | |
| Cartesian | ![]() ![]() | Affine arc length |
| Parametric Cartesian | ![]() ![]() | |
![]() | Parametric Cartesian | ![]() ![]() ![]() | |
![]() | Cartesian | ![]() ![]() | Curvature |
![]() | Parametric Cartesian | ![]() ![]() | |
![]() | Polar | ![]() | |
![]() | Parametric Cartesian | ![]() ![]() ![]() | |
![]() | Cartesian | ![]() ![]() | Affine curvature |
![]() | Parametric Cartesian | ![]() ![]() | |
![]() | Parametric Cartesian | ![]() ![]() ![]() | Torsion of curves |
![]() ![]() | Parametric Cartesian | ![]() ![]() | Dual curve (tangent coordinates) |
![]() ![]() | Parametric Cartesian | ![]() ![]() | Parallel curve |
![]() ![]() | Parametric Cartesian | ![]() ![]() | Evolute |
![]() | Intrinsic | ![]() ![]() | |
![]() ![]() | Parametric Cartesian | ![]() ![]() | Involute |
![]() ![]() | Parametric Cartesian | ![]() ![]() | Pedal curve with pedal point (0;0) |
![]() ![]() | Parametric Cartesian | ![]() ![]() | Negative pedal curve with pedal point (0;0) |
![]() ![]() | Intrinsic | ![]() ![]() | Intrinsic to Cartesian transformation |
| Metric functionals | |||
![]() | Norm | ||
![]() | Inner product | ||
![]() | Fubini–Study metric (inner angle) | ||
| Distribution functionals | |||
![]() | Convolution | ||
![]() | Differential entropy | ||
![]() | Expected value | ||
![]() | Variance | ||
See also
- List of transforms
- List of Fourier-related transforms
- Transfer operator
- Fredholm operator
- Borel transform
- Table of mathematical symbols
This article is issued from Wikipedia - version of the 3/13/2014. The text is available under the Creative Commons Attribution/Share Alike but additional terms may apply for the media files.

![L[y]=y^{(n)} \](../I/m/49a0365dd20f66fcf0794f6fb55c3972.png)


![L[y]=y\circ f](../I/m/bbb519bb3a09bf3d583e1780724dee9b.png)
![L[y]=\frac{y\circ t+y\circ -t}{2}](../I/m/552dcd34a9489a9e3fa08329250e52c8.png)
![L[y]=\frac{y\circ t-y\circ -t}{2}](../I/m/f4830acc2d8f21a36c6b1a8b8f502039.png)
![L[y]=y\circ (t+1) - y\circ t = \Delta y](../I/m/3ac8eca762f9e845d4d474539c9134eb.png)
![L[y]=y\circ (t) - y\circ (t-1) = \nabla y](../I/m/ec80c476ef241cb4a8954fc65f1b0a49.png)
![L[y]=\sum y=\Delta^{-1}y](../I/m/60da1f0aa0cee23191983a85b8a27a1d.png)
![L[y] =-(py')'+qy \,](../I/m/d8eb95bb0644e5fbd410af126da452f8.png)
![F[y]=t\,y'^{[-1]} - y\circ y'^{[-1]}](../I/m/59d5e7b0b1e30bd6a6004466c7dde91d.png)
![F[y]=f\circ y](../I/m/0cb0f7a63ff9aca39bdaeb1c4a31813b.png)
![F[y]=\prod y](../I/m/29afbc9975444371e8c48fb436cb0830.png)
![F[y]=\frac{y'}{y}](../I/m/a4c904350b714a063b4095662b3a3767.png)
![F[y]={\frac{ty'}{y}}](../I/m/0180edc7112b9b28674769e10574486a.png)
![F[y]={y''' \over y'}-{3\over 2}\left({y''\over y'}\right)^2](../I/m/35079918636de33b40dc61e517450075.png)
![F[y]=\int_a^t |y'| \,dt](../I/m/01f779edce31f5f0438763b3575d319c.png)
![F[y]=\frac{1}{t-a}\int_a^t y\,dt](../I/m/7a6653583ea941e99e751998426851a0.png)
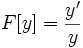
![F[y]= -\frac{y}{y'}](../I/m/771799ab1e4c1fa679c92f4354f09e1e.png)
![F[x,y]= -\frac{yx'}{y'}](../I/m/279255dd9a83486684b89e1c3b950863.png)


![F[r]= -\frac{r^2}{r'}](../I/m/1988acc2b720ea4fd5cc128262e1e8d5.png)

![F[r]=\frac{1}{2}\int_a^t r^2 dt](../I/m/2e47e425be100da3ae1396dd619658e3.png)
![F[y]= \int_a^t \sqrt { 1 + y'^2 }\, dt](../I/m/daf0aa41502f6f4ae687a782c9fd0a2b.png)
![F[x,y]= \int_a^t \sqrt { x'^2 + y'^2 }\, dt](../I/m/fabb6d0bb97bc4746e9ad20e5d10e570.png)
![F[r]= \int_a^t \sqrt { r^2 + r'^2 }\, dt](../I/m/b62a2fd149b52d43ac452927bbf55d59.png)
![F[x,y,z]=\int_a^t\sqrt[3]{z'''(x'y''-y'x'')+z''(x'''y'-x'y''')+z'(x''y'''-x'''y'')}](../I/m/6f6580ef6791ea75d5361daef3ef6dc0.png)

![F[y]=\frac{y''}{(1+y'^2)^{3/2}}](../I/m/e0ea1ae833565d4b1b41c41382e4b53d.png)
![F[x,y]= \frac{x'y''-y'x''}{(x'^2+y'^2)^{3/2}}](../I/m/4f78f09209d07999a9e9f96767e8c3c9.png)
![F[r]=\frac{r^2+2r'^2-rr''}{(r^2+r'^2)^{3/2}}](../I/m/7ee9b3616fc7f4889af9f93fd1e13f3b.png)
![F[x,y,z]=\frac{\sqrt{(z''y'-z'y'')^2+(x''z'-z''x')^2+(y''x'-x''y')^2}}{(x'^2+y'^2+z'^2)^{3/2}}](../I/m/6f358023a9da4d45f759a823ee27c90a.png)
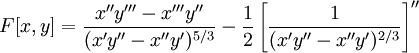
![F[y]=\frac{1}{3}\frac{y''''}{(y'')^{5/3}}-\frac{5}{9}\frac{y'''^2}{(y'')^{8/3}}](../I/m/e19db1fb34c57c0a767bc2c6f886daf5.png)
![F[x,y]= \frac{x''y'''-x'''y''}{(x'y''-x''y')^{5/3}}-\frac{1}{2}\left[\frac{1}{(x'y''-x''y')^{2/3}}\right]''](../I/m/d89e28c9d6be339ff06c761f788deb09.png)
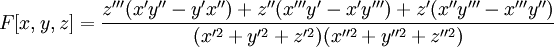
![F[x,y,z]=\frac{z'''(x'y''-y'x'')+z''(x'''y'-x'y''')+z'(x''y'''-x'''y'')}{(x'^2+y'^2+z'^2)(x''^2+y''^2+z''^2)}](../I/m/c52fa64348864d2ee2565431b3f139a9.png)
![X[x,y]=\frac{y'}{yx'-xy'}](../I/m/e194332d41ee7f040451d40342960eea.png)
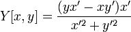
![Y[x,y]=\frac{x'}{xy'-yx'}](../I/m/451f8ceefba3042f3e6119278270d864.png)
![X[x,y]=x+\frac{ay'}{\sqrt {x'^2+y'^2}}](../I/m/647b764f6b1bdc007709689a57500cc5.png)
![Y[x,y]=y-\frac{ax'}{\sqrt {x'^2+y'^2}}](../I/m/79df52cae371e456b786179d5725f7b1.png)
![X[x,y]=x+y'\frac{x'^2+y'^2}{x''y'-y''x'}](../I/m/c8e238b46813629cab3df47183a5bd50.png)
![Y[x,y]=y+x'\frac{x'^2+y'^2}{y''x'-x''y'}](../I/m/c94a285074edb6fc5f149c3d16c39551.png)
![F[r]=t (r'\circ r^{[-1]})](../I/m/e28dedddc22aa666b049846271ec95ea.png)


![X[x,y]=x-\frac{x'\int_a^t \sqrt { x'^2 + y'^2 }\, dt}{\sqrt { x'^2 + y'^2 }}](../I/m/50c28b1f60a9fad0c7a43dd62c931a1f.png)
![Y[x,y]=y-\frac{y'\int_a^t \sqrt { x'^2 + y'^2 }\, dt}{\sqrt { x'^2 + y'^2 }}](../I/m/2ed0da6a13e5d3743ee25347536281f3.png)
![X[x,y]=\frac{(xy'-yx')y'}{x'^2 + y'^2}](../I/m/d7dcadaecf9caf291dce86f89aad5327.png)
![Y[x,y]=\frac{(yx'-xy')x'}{x'^2 + y'^2}](../I/m/a358f788b739ad1ad4f44358213a6c4e.png)
![X[x,y]=\frac{(x'^2-y'^2)y'+2xyx'}{xy'-yx'}](../I/m/a588ce2e39ab0f23e1d64d2fa9212179.png)
![Y[x,y]=\frac{(x'^2-y'^2)x'+2xyy'}{xy'-yx'}](../I/m/96ea79b8881ea384ebba265a2ed407db.png)
![X[y] = \int_a^t \cos \left[\int_a^t \frac{1}{y} \,dt\right] dt](../I/m/7388111d1347030ae66786d61ee5114f.png)
![Y[y] = \int_a^t \sin \left[\int_a^t \frac{1}{y} \,dt\right] dt](../I/m/12fa1a381840f1a9e2d482727f4e517d.png)

![F[y]=||y||=\sqrt{\int_E y^2 \, dt}](../I/m/7c8219d9bf7d64cf9956cd7aedff42d6.png)
![F[x,y]=\int_E xy \, dt](../I/m/5f07dba271068316a463b2d579c631a1.png)
![F[x,y]=\arccos \left[\frac{\int_E xy \, dt}{\sqrt{\int_E x^2 \, dt}\sqrt{\int_E y^2 \, dt}}\right]](../I/m/649a78875da76bdf112111a8239831cc.png)
![F[x,y] = x * y = \int_E x(s) y(t - s)\, ds](../I/m/02fd75ea1f0e9e10d4cf9b0953ea90b2.png)
![F[y] = \int_E y \ln y \, dy](../I/m/bded6b0422d94f0ffc8c832f9282cedc.png)
![F[y] = \int_E yt\,dt](../I/m/f81088dcd35f4a5f4b8a21b5d81eed73.png)
![F[y] = \int_E (t-\int_E yt\,dt)^2y\,dt](../I/m/7d0076a25484b91fbb18fce89d075edc.png)