Lisofylline
![]() | |
![]() | |
| Identifiers | |
|---|---|
| |
| Synonyms | 1-(5-Hydroxyhexyl)-3,7-dimethylxanthine (HDX) |
| CAS Number |
100324-81-0 |
| PubChem (CID) | 501254 |
| ChemSpider |
438549 |
| UNII |
L1F2Q2X956 |
| ChEMBL |
CHEMBL1411 |
| Chemical and physical data | |
| Formula | C13H20N4O3 |
| Molar mass | 280.32 g/mol |
| 3D model (Jmol) | Interactive image |
| |
| |
| | |
Lisofylline (LSF) is a synthetic small molecule with novel anti-inflammatory properties. LSF can effectively prevent type 1 diabetes in preclinical models and improves the function and viability of isolated or transplanted pancreatic islets. It is a metabolite of pentoxifylline.
As well, LSF improves cellular mitochondrial function and blocks interleukin-12 (IL-12) signaling and STAT-4 activation in target cells and tissues. IL-12 and STAT-4 activation are important pathways linked to inflammation and autoimmune damage to insulin producing cells. Therefore, LSF and related analogs could provide a new therapeutic approach to prevent or reverse type 1 diabetes. LSF also directly reduces glucose-induced changes in human kidney cells suggesting that LSF and analogs have the potential to treat the complications associated with diabetes.
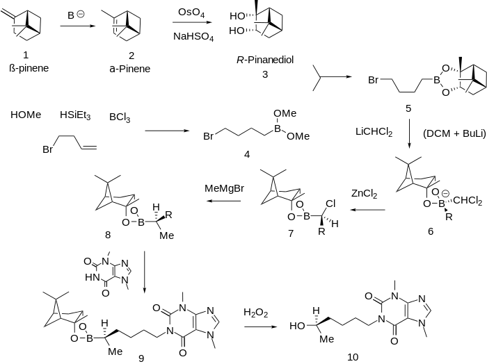
Synthesis
The R enantiomer of the pentoxyfylline analogue in which the ketone has been reduced to an alcohol shows enhanced activity as an inhibitor of acetyl CoA over the parent drug.
DE 3942872; eidem, U.S. Patent 5,310,666 (1991, 1994 both to Hoechst). Asymmetric synthesis: J. P. Klein et al., WO 9531450 (1995 to Cell Therapeutics).
For analogs see:[8]
References
- ↑ Matteson, D. S.; Sadhu, K. M.; Peterson, M. L. (1986). "99% Chirally selective synthesis via pinanediol boronic esters: Insect pheromones, diols, and an amino alcohol". Journal of the American Chemical Society. 108 (4): 810. doi:10.1021/ja00264a039.
- ↑ Matteson, D. S.; Ray, R. (1980). "Directed chiral synthesis with pinanediol boronic esters". Journal of the American Chemical Society. 102 (25): 7590. doi:10.1021/ja00545a046.
- ↑ Kabalka, G. W.; Li, N. S.; Yu, S. (1997). "Asymmetric synthesis of alkylarylcarbinols via reaction of a chiral pinanediol alkylboronic ester with arylmethyl chlorides". Tetrahedron: Asymmetry. 8 (23): 3843. doi:10.1016/S0957-4166(97)00565-X.
- ↑ Matteson, D. S.; Jesthi, P. K.; Sadhu, K. M. (1984). "Synthesis and properties of pinanediol .alpha.-amido boronic esters". Organometallics. 3 (8): 1284. doi:10.1021/om00086a024.
- ↑ Matteson, D. S. (1988). "Asymmetric synthesis with boronic esters". Accounts of Chemical Research. 21 (8): 294. doi:10.1021/ar00152a002.
- ↑ Matteson, D. S. (2013). "Boronic Esters in Asymmetric Synthesis". The Journal of Organic Chemistry. 78 (20): 10009. doi:10.1021/jo4013942.
- ↑ Scott, H. K.; Aggarwal, V. K. (2011). "Highly Enantioselective Synthesis of Tertiary Boronic Esters and their Stereospecific Conversion to other Functional Groups and Quaternary Stereocentres". Chemistry: A European Journal. 17 (47): 13124. doi:10.1002/chem.201102581.
- ↑ Cui, P.; MacDonald, T. L.; Chen, M.; Nadler, J. L. (2006). "Synthesis and biological evaluation of lisofylline (LSF) analogs as a potential treatment for Type 1 diabetes". Bioorganic & Medicinal Chemistry Letters. 16 (13): 3401. doi:10.1016/j.bmcl.2006.04.036.
External links
- University of Virginia Research Announcement
- National Institute of Health on Lisofylline
- Metabolism of lisofylline in the human liver


