Labelled enumeration theorem
In combinatorial mathematics, the labelled enumeration theorem is the counterpart of the Pólya enumeration theorem for the labelled case, where we have a set of labelled objects given by an exponential generating function (EGF) g(z) which are being distributed into n slots and a permutation group G which permutes the slots, thus creating equivalence classes of configurations. There is a special re-labelling operation that re-labels the objects in the slots, assigning labels from 1 to k, where k is the total number of nodes, i.e. the sum of the number of nodes of the individual objects. The EGF
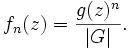
of the number of different configurations under this re-labelling process is given by
In particular, if G is the symmetric group of order n (hence, |G| = n!), the functions f_n(z) can be further combined into a single generating function:
which is exponential w.r.t. the variable z and ordinary w.r.t. the variable t.
The re-labelling process

.)We assume that an object
of size
represented by
contains
labelled internal nodes, with the labels going from 1 to m. The action of G on the slots is greatly simplified compared to the unlabelled case, because the labels distinguish the objects in the slots, and the orbits under G all have the same size
. (The EGF g(z) may not include objects of size zero. This is because they are not distinguished by labels and therefore the presence of two or more of such objects creates orbits whose size is less than
.) As mentioned, the nodes of the objects are re-labelled when they are distributed into the slots. Say an object of size
goes into the first slot, an object of size
into the second slot, and so on, and the total size of the configuration is k, so that
The re-labelling process works as follows: choose one of
partitions of the set of k labels into subsets of size
Now re-label the internal nodes of each object using the labels from the respective subset, preserving the order of the labels. E.g. if the first object contains four nodes labelled from 1 to 4 and the set of labels chosen for this object is {2, 5, 6, 10}, then node 1 receives the label 2, node 2, the label 5, node 3, the label 6 and node 4, the label 10. In this way the labels on the objects induce a unique labelling using the labels from the subset of
chosen for the object.
Proof of the theorem
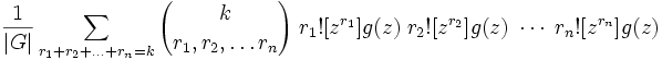
It follows from the re-labelling construction that there are
or
different configurations of total size k. The formula evaluates to an integer because
is zero for k < n (remember that g does not include objects of size zero) and when
we have
and the order
of G divides the order of
, which is
, by Lagrange's theorem. The conclusion is that the EGF of the labelled configurations is given by
This formula could also be obtained by enumerating sequences, i.e. the case when the slots are not being permuted, and by using the above argument without the
-factor to show that their generating function under re-labelling is given by
. Finally note that every sequence belongs to an orbit of size
, hence the generating function of the orbits is given by 
References
- François Bergeron, Gilbert Labelle, Pierre Leroux, Théorie des espèces et combinatoire des structures arborescentes, LaCIM, Montréal (1994). English version: Combinatorial Species and Tree-like Structures, Cambridge University Press (1998).




![\frac{1}{|G|}
\sum_{r_1 + r_2 + \ldots + r_n = k}
{k \choose r_1, r_2, \ldots r_n} \;
r_1! [z^{r_1}] g(z) \;
r_2! [z^{r_2}] g(z) \;
\cdots \;
r_n! [z^{r_n}] g(z)](../I/m/0f79a03d9e7bf78831c2f28d52f8fc26.png)
![\frac{k!}{|G|}
\sum_{r_1 + r_2 + \ldots + r_n = k}
[z^{r_1}] g(z)
[z^{r_2}] g(z)
\cdots
[z^{r_n}] g(z)
\; = \; \frac{k!}{|G|} [z^k] g(z)^n](../I/m/3bedb4a697ff1a21e023b739886f18e7.png)
![f_n(z) = \sum_{k \ge 0} \left( \frac{k!}{|G|} [z^k] g(z)^n \right) \frac{z^k}{k!} =
\frac{1}{|G|} \sum_{k \ge 0} z^k [z^k] g(z)^n = \frac{g(z)^n}{|G|}.](../I/m/3533bb313b14025764d18cebd4435db5.png)