Kuhn poker
Kuhn poker is an extremely simplified form of poker developed by Harold W. Kuhn as a simple model zero-sum two-player imperfect-information game, amenable to a complete game-theoretic analysis. In Kuhn poker, the deck includes only three playing cards, for example a King, Queen, and Jack. One card is dealt to each player, which may place bets similarly to a standard poker. If both players bet or both players pass, the player with the higher card wins, otherwise, the betting player wins.
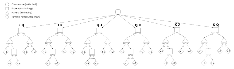
Game description
In conventional poker terms, a game of Kuhn poker proceeds as follows:
- Each player antes 1.
- Each player is dealt one of the three cards, and the third is put aside unseen.
- Player one can check or bet 1.
- If player one checks then player two can check or bet 1.
- If player two checks there is a showdown for the pot of 2 (i.e. the higher card wins 1 from the other player).
- If player two bets then player one can fold or call.
- If player one folds then player two takes the pot of 3 (i.e. winning 1 from player 1).
- If player one calls there is a showdown for the pot of 4 (i.e. the higher card wins 2 from the other player).
- If player one bets then player two can fold or call.
- If player two folds then player one takes the pot of 3 (i.e. winning 1 from player 2).
- If player two calls there is a showdown for the pot of 4 (i.e. the higher card wins 2 from the other player).
- If player one checks then player two can check or bet 1.
Optimal strategy
The game has a mixed-strategy Nash equilibrium; when both players play equilibrium strategies, the first player should expect to lose at a rate of −1/18 per hand (as the game is zero-sum, the second player should expect to win at the same rate). There is no pure-strategy equilibrium.
Kuhn demonstrated there are infinitely many equilibrium strategies for the first player, forming a continuum governed by a single parameter. In one possible formulation, player one freely chooses the probability with which he will bet when having a Jack. Then, when having a King, he should bet with the probability of ; he should always check when having a Queen, and if the other player bets after this check, he should call with the probability of .
The second player has a single equilibrium strategy: Always betting or calling when having a King; when having a Queen, checking if possible, otherwise calling with the probability of 1/3; when having a Jack, never calling and betting with the probability of 1/3.

References
- Kuhn, H. W. (1950). "Simplified Two-Person Poker". In Kuhn, H. W.; Tucker, A. W. Contributions to the Theory of Games. 1. Princeton University Press. pp. 97–103.
- James Peck. "Perfect Bayesian Equilibrium" (PDF). Ohio State University. Retrieved 2 September 2016.:19-29