Herz reaction
The Herz reaction, named after the chemist Richard Herz, is the chemical conversion of an aniline-derivative (1) to a so-called Herz salt (2) with disulfur dichloride, followed by hydrolysis of this Herz salt (2) to the corresponding sodium thiolate (3):[1]

Applications
Benzothiazoles
The sodium thiolate 3 can be converted to an intermediate zinc mercaptide with Zinc sulfate, followed by reaction of the mercaptide with for instance benzoyl chloride, forming a 1,3-benzothiazole 4.

Dyes
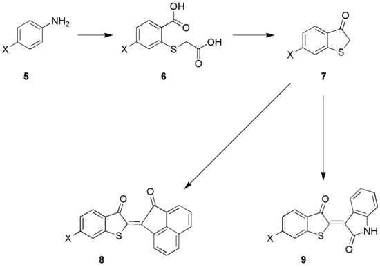
Aniline 5 is converted to compound 6, in three steps;
- conversion to an ortho-aminothiol through the Herz-reaction (aniline 5 and disulfur dichloride), followed by
- conversion to an ortho-aminoarylthioglycolacid and
- conversion of the aromatic amine function to a nitrile via the Sandmeyer reaction.
- In a last step the nitrile is hydrolysed resulting in 6. This compound is converted to 7 via a ring-closing reaction and decarboxylation.
The compound, (thioindoxyl, 7) is an important intermediate in the organic synthesis of some dyes. Condensation with acenaphthoquinone gives 8, a dye of the so-called Ciba-Scarlet type, while condensation of 7 with isatin results in the thio-Indigo dye 9.

References
- ↑ W. K. Warburton (1957). "Arylthiazathiolium Salts And o-Aminoaryl Thiols - The Herz Reaction". Chemical Reviews. 57 (5): 1011–1020. doi:10.1021/cr50017a004.