Phosphatidylglycerol

Phosphatidylglycerol is a glycerophospholipid found in pulmonary surfactant.[1]
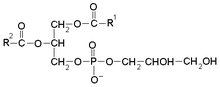
The general structure of phosphatidylglycerol consists of a L-glycerol 3-phosphate backbone ester-bonded to either saturated or unsaturated fatty acids on carbons 1 and 2. The head group substituent glycerol is bonded through a phosphomonoester. It is the precursor of surfactant and its presence (>0.3) in the amniotic fluid of the newborn indicates fetal lung maturity.
Approximately 98% of alveolar wall surface area is due to the presence of type I cells, with type II cells producing pulmonary surfactant covering around 2% of the alveolar walls. Once surfactant is secreted by the type II cells, it must be spread over the remaining type I cellular surface area. Phosphatidylglycerol is thought to be important in spreading of surfactant over the Type I cellular surface area. The major surfactant deficiency in premature infants relates to the lack of phosphatidylglycerol, even though it comprises less than 5% of pulmonary surfactant phospholipids. It is synthesized by head group exchange of a phosphatidylcholine enriched phospholipid using the enzyme phospholipase D.
Biosynthesis

Phosphatidic acid reacts with CTP, producing CDP-diacylglycerol, with loss of pyrophosphate. Glycerol-3-phosphate reacts with CDP-diacylglycerol to form phosphatidylglycerol phosphate, while CMP is released. The phosphate group is hydrolysed forming phosphatidylglycerol.
Two phosphatidylglycerols form cardiolipin, the constituent molecule of the mitochondrial inner membrane.[2]
See also
References
- ↑ Richard J. King, Mary Catherine MacBeth (6 October 1981). "Interaction of the lipid and protein components of pulmonarysurfactant Role of phosphatidylglycerol and calcium". Biochimica et Biophysica Acta (BBA) - Biomembranes. 647: 159–168. doi:10.1016/0005-2736(81)90242-X.
- ↑ Ying-Ying Chang and Eugene P. Kennedy (September 1967). "Biosynthesis of phosphatidyl glycerophosphate in Escherichia coli". The Journal of Lipid Research. 8 (5): 447–455. PMID 4860577.
External links
- Phosphatidylglycerols at the US National Library of Medicine Medical Subject Headings (MeSH)