Consanguine marriage
Consanguineous marriage is matrimony between individuals who are closely related. Though it may involve incest, it implies more than the sexual nature of incst. In a clinical sense, marriage between two family members who are second cousins or closer qualify as having a consanguineous marriage. This is based on the gene copies their offspring may receive.[1] Though these unions are still prevalent in some communities, as seen in the Middle East, North Africa, and West Asia, many other populations have seen a great decline in family marriages.[2]
Prevalence and stigma

Globally, 8.5% of children have consanguineous parents, and 20% of the human population live in communities practicing endogamy.[3][4] Theories on the developments of consanguineous marriage as a taboo can be supported as being both a social, and a biological development.[2]
Social factors
In a social perspective, the observed inclination to practice consanguinity has been due to advantages to social and financial status. Upholding familial structure and assets, and ease of marital arrangements are valued among consanguineous marriages.[4][5] Low age and a lack of awareness of the consequences of inbreeding are common in consanguineous marriages.[2]
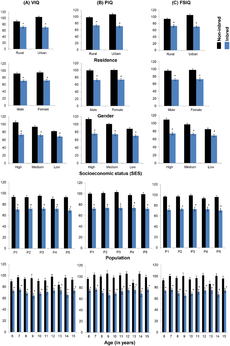
Consanguineous marriage is present in every religion, and cannot be accredited to any one religious mandate.[4][6] Consanguinity is practiced regardless of religious influences and is a result of cultural, historical, regional, and socio-economic factors.[2][6][7] A greater number of consanguineous marriages are observed in rural areas compared to urban areas within the same region. This is attributed to the tendency of individuals in rural areas to marry at younger ages, have a lower socio-economic status, and lesser education than those who live in urban areas.[8][9] Parent's grade of job has also been credited as a factor.[5]
In cases of incest involving a child and adult, legislation usually considers it to be a form of child sexual abuse.[10][11]

Epidemiological features
Multiple studies have established consanguinity as a high cause for birth defects and abnormalities. A risk of autosomal recessive disorders increases in offspring coming from consanguineous marriages due to the increased likelihood of receiving recessive genes from cognate parents.[2] According to population based case-control studies, a higher risk of stillbirth is associated with consanguineous marriages.[12]
Inbreeding is associated with decreased cognitive abilities in children.[13]
Younger ages of marriage are commonly seen in consanguineous marriages, which may account for the increase in fertility seen in these unions. Chances of postnatal mortality are higher in offspring.The first year holds the highest chance of death due to the risk of autosomal recessive genes. This is also the cause of health complications as children born from consanguinity enter adulthood.[14]
See also
References
- ↑ Hamamy, Hanan (November 22, 2011). "Consanguineous marriages". https://www.ncbi.nlm.nih.gov/pmc/. Retrieved October 17, 2016. External link in
|website=(help) - 1 2 3 4 5 Heidari F, Dastgiri S, Tajaddini N, et al. Prevalence and Risk Factors of Consanguineous Marriage. European Journal Of General Medicine [serial online]. December 2014;11(4):248-255. Available from: Academic Search Complete, Ipswich, MA. Accessed October 4, 2016.
- ↑ Obeidat BG, Khader YS, Amarin ZO, Kassawneh M, AlOmari M. Consanguinity and adverse pregnancy outcomes: the north of Jordan experience. Matern Child Health J 2010;14(2);283-9.
- 1 2 3 Akrami SM, Montazeri V, Shomali SR, Heshmat R, Larijani B. Is there a significant trend in prevalence of consanguineous marriage in Tehran? A review of three generations. J Genet Couns 2009;18(1):82-6.
- 1 2 Shawky RM, El-Awady MY, Elsayed SM, Hamadan GE. Consanguineous matings among Egyptian population. Egypt J Med Human Genet 2011;12(2):157-63.
- 1 2 Alvarez G, Quinteiro C, Ceballos F. Inbreeding and Genetic Disorder. Advances in the Study of Genetic Disorders 2011. Available from: http://cdn.intechopen.com/pdfs/23704/ InTech- Inbreeding_and_genetic_disorder.pdf.
- ↑ Masood SN, Jamil N, Mumtaz SN, Masood MF, Muneer S. Congenital malformations in newborns of consanguineous and non-consanguineous parents. Pak J Med Sci 2011;2:1- 5.
- ↑ Tadmouri GO, Nair P, Obeid T, et al. Consanguinity and reproductive health among Arabs. Reproductive Health 2009;6(17).
- ↑ Sedehi M, Keshtkar A, Golalipour MJ. The Knowledge and the Attitude of Youth Couples On/Towards Consanguineous Marriages in the North of Iran. J Clin Diagnostic Res 2012;6(7):1233-6.
- ↑ Levesque, Roger J. R. (1999). Sexual Abuse of Children: A Human Rights Perspective. Indiana University Press. pp. 1,5–6,176–180.
- ↑ "United Nations Convention on the Rights of the Child" Archived June 11, 2010, at the Wayback Machine.. Office of the United Nations High Commissioner for Human Rights. 1989.
- ↑ Maghsoudlou S, Cnattingius S, Bahmanyar S, et al. Consanguineous marriage, prepregnancy maternal characteristics and stillbirth risk: a population-based case-control study. Acta Obstetricia Et Gynecologica Scandinavica [serial online]. October 2015;94(10):1095-1101. Available from: Academic Search Complete, Ipswich, MA. Accessed October 25, 2016.
- ↑ Fareed M, Afzal M (2014) Estimating the Inbreeding Depression on Cognitive Behavior: A Population Based Study of Child Cohort. PLoS ONE 9(10): e109585. doi:10.1371/journal.pone.0109585
- ↑ Bittles, A. (1994). The Role and Significance of Consanguinity as a Demographic Variable. Population and Development Review, 20(3), 561-584. doi:1. Retrieved from http://www.jstor.org/stable/2137601 doi:1
Further reading
- Arner, George B Louis (1908). Consanguineous Marriages in the American Population. Studies in History, Economics, and Public Law. XXXI. New York, Columbia University: Longmans, Green & Co. OCLC 1981218.
- Ottenheimer, Martin (1996). Forbidden Relatives: The American Myth of Cousin Marriage. Urbana: University of Illinois Press. ISBN 0252022394. OCLC 33408080.
External links
| Look up consanguine, consanguinity, or consanguineous in Wiktionary, the free dictionary. |
- Bittles, Alan; Black, Michael. "Consanguinity/Endogamy Resource". consang.net.
- Dougherty, John (2005). "Forbidden Fruit". phoenixnewtimes.com.
- Kershaw, Sarah (2009). "Shaking Off the Shame". The New York Times.
- "consanguineous". law.academic.ru.
- "consanguineous". merriam-webster.com.