Clifford algebra
In mathematics, Clifford algebras are a type of associative algebra. As K-algebras, they generalize the real numbers, complex numbers, quaternions and several other hypercomplex number systems.[1][2] The theory of Clifford algebras is intimately connected with the theory of quadratic forms and orthogonal transformations. Clifford algebras have important applications in a variety of fields including geometry, theoretical physics and digital image processing. They are named after the English geometer William Kingdon Clifford.
The most familiar Clifford algebra, or orthogonal Clifford algebra, is also referred to as Riemannian Clifford algebra.[3]
Introduction and basic properties
A Clifford algebra is a unital associative algebra that contains and is generated by a vector space V over a field K, where V is equipped with a quadratic form Q. The Clifford algebra Cℓ(V, Q) is the "freest" algebra generated by V subject to the condition[4]
where the product on the left is that of the algebra, and the 1 is its multiplicative identity.
One common way of writing this is to say that the free algebra generated by V may be written as the tensor algebra , that is, the sum of n copies of V for all n, and so a Clifford algebra would be the quotient of this tensor algebra by the two-sided ideal generated by elements the form for all elements . The product induced by the tensor product in the quotient algebra is written using juxtaposition (e.g. uv). Its associativity follows from the associativity of the tensor product.
The definition of a Clifford algebra endows the algebra with more structure than a "bare" K-algebra: specifically it has a distinguished subspace V.[5] Such a subspace cannot in general be uniquely determined given only a K-algebra isomorphic to the Clifford algebra.
If the characteristic of the ground field K is not 2, then one can rewrite this fundamental identity in the form
where
is the symmetric bilinear form associated with Q, via the polarization identity. The idea of being the "freest" or "most general" algebra subject to this identity can be formally expressed through the notion of a universal property, as done below.
Quadratic forms and Clifford algebras in characteristic 2 form an exceptional case. In particular, if char(K) = 2 it is not true that a quadratic form determines a symmetric bilinear form, or that every quadratic form admits an orthogonal basis. Many of the statements in this article include the condition that the characteristic is not 2, and are false if this condition is removed.
As a quantization of the exterior algebra
Clifford algebras are closely related to exterior algebras. In fact, if Q = 0 then the Clifford algebra Cℓ(V, Q) is just the exterior algebra Λ(V). For nonzero Q there exists a canonical linear isomorphism between Λ(V) and Cℓ(V, Q) whenever the ground field K does not have characteristic two. That is, they are naturally isomorphic as vector spaces, but with different multiplications (in the case of characteristic two, they are still isomorphic as vector spaces, just not naturally). Clifford multiplication together with the distinguished subspace is strictly richer than the exterior product since it makes use of the extra information provided by Q.
A different way of saying this is that, if one takes the Clifford algebra to be a filtered algebra, then the associated graded algebra is the exterior algebra.
More precisely, Clifford algebras may be thought of as quantizations (cf. Quantum group) of the exterior algebra, in the same way that the Weyl algebra is a quantization of the symmetric algebra.
Weyl algebras and Clifford algebras admit a further structure of a *-algebra, and can be unified as even and odd terms of a superalgebra, as discussed in CCR and CAR algebras.
Universal property and construction
Let V be a vector space over a field K, and let Q: V → K be a quadratic form on V. In most cases of interest the field K is either the field of real numbers R, or the field of complex numbers C, or a finite field.
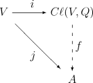
A Clifford algebra Cℓ(V, Q) is a unital associative algebra over K together with a linear map i : V → Cℓ(V, Q) satisfying i(v)2 = Q(v)1 for all v ∈ V, defined by the following universal property: given any associative algebra A over K and any linear map j : V → A such that
- j(v)2 = Q(v)1A for all v ∈ V
(where 1A denotes the multiplicative identity of A), there is a unique algebra homomorphism f : Cℓ(V, Q) → A such that the following diagram commutes (i.e. such that f ∘ i = j):

The quadratic form Q (in characteristic not 2) may be replaced by a symmetric bilinear form , in which case the requirement on j is
A Clifford algebra as described above always exists and can be constructed as follows: start with the most general algebra that contains V, namely the tensor algebra T(V), and then enforce the fundamental identity by taking a suitable quotient. In our case we want to take the two-sided ideal IQ in T(V) generated by all elements of the form
- for all
and define Cℓ(V, Q) as the quotient algebra
- Cℓ(V, Q) = T(V)/IQ.
The ring product inherited by this quotient is sometimes referred to as the Clifford product[6] to differentiate it from the exterior product and the scalar product.
It is then straightforward to show that Cℓ(V, Q) contains V and satisfies the above universal property, so that Cℓ is unique up to a unique isomorphism; thus one speaks of "the" Clifford algebra Cℓ(V, Q). It also follows from this construction that i is injective. One usually drops the i and considers V as a linear subspace of Cℓ(V, Q).
The universal characterization of the Clifford algebra shows that the construction of Cℓ(V, Q) is functorial in nature. Namely, Cℓ can be considered as a functor from the category of vector spaces with quadratic forms (whose morphisms are linear maps preserving the quadratic form) to the category of associative algebras. The universal property guarantees that linear maps between vector spaces (preserving the quadratic form) extend uniquely to algebra homomorphisms between the associated Clifford algebras.
Basis and dimension
If the dimension of V over K is n and {e1, ..., en} is an orthogonal basis of (V, Q), then Cℓ(V, Q) is free over K with a basis
- .
The empty product (k = 0) is defined as the multiplicative identity element. For each value of k there are n choose k basis elements, so the total dimension of the Clifford algebra is
Since V comes equipped with a quadratic form, there is a set of privileged bases for V: the orthogonal ones. An orthogonal basis is one such that
- for , and
where is the symmetric bilinear form associated to Q. The fundamental Clifford identity implies that for an orthogonal basis
- for , and
This makes manipulation of orthogonal basis vectors quite simple. Given a product of distinct orthogonal basis vectors of V, one can put them into standard order while including an overall sign determined by the number of pairwise swaps needed to do so (i.e. the signature of the ordering permutation).
Examples: real and complex Clifford algebras
The most important Clifford algebras are those over real and complex vector spaces equipped with nondegenerate quadratic forms.
Each of the algebras Cℓp,q(R) and Cℓn(C) is isomorphic to A or A ⊕ A, where A is a full matrix ring with entries from R, C, or H. For a complete classification of these algebras see classification of Clifford algebras.
Real numbers
The geometric interpretation of real Clifford algebras is known as geometric algebra.
Every nondegenerate quadratic form on a finite-dimensional real vector space is equivalent to the standard diagonal form:
where n = p + q is the dimension of the vector space. The pair of integers (p, q) is called the signature of the quadratic form. The real vector space with this quadratic form is often denoted Rp,q. The Clifford algebra on Rp,q is denoted Cℓp,q(R). The symbol Cℓn(R) means either Cℓn,0(R) or Cℓ0,n(R) depending on whether the author prefers positive definite or negative definite spaces.
A standard basis {ei} for Rp,q consists of n = p + q mutually orthogonal vectors, p of which square to +1 and q of which square to −1. The algebra Cℓp,q(R) will therefore have p vectors that square to +1 and q vectors that square to −1.
Note that Cℓ0,0(R) is naturally isomorphic to R since there are no nonzero vectors. Cℓ0,1(R) is a two-dimensional algebra generated by a single vector e1 that squares to −1, and therefore is isomorphic as an algebra (but not as a superalgebra) to C, the field of complex numbers. The algebra Cℓ0,2(R) is a four-dimensional algebra spanned by {1, e1, e2, e1e2}. The latter three elements square to −1 and all anticommute, and so the algebra is isomorphic to the quaternions H. Cℓ0,3(R) is an 8-dimensional algebra isomorphic to the direct sum H ⊕ H called split-biquaternions.
Complex numbers
One can also study Clifford algebras on complex vector spaces. Every nondegenerate quadratic form on a complex vector space is equivalent to the standard diagonal form
where n = dim V, up to isomorphism so there is only one nondegenerate Clifford algebra for each dimension n. We will denote the Clifford algebra on Cn with the standard quadratic form by Cℓn(C).
The first few cases are not hard to compute. One finds that
- Cℓ0(C) ≅ C, the complex numbers
- Cℓ1(C) ≅ C ⊕ C, the bicomplex numbers
- Cℓ2(C) ≅ M(2, C), the biquaternions
where M(n, C) denotes the algebra of n × n matrices over C.
Examples: constructing quaternions and dual quaternions
Quaternions
In this section, Hamilton's quaternions are constructed as the even sub algebra of the Clifford algebra Cℓ0,3(R).
Let the vector space V be real three dimensional space R3, and the quadratic form Q be derived from the usual Euclidean metric. Then, for v, w in R3 we have the quadratic form, or scalar product,
Now introduce the Clifford product of vectors v and w given by
This formulation uses the negative sign so the correspondence with quaternions is easily shown.
Denote a set of orthogonal unit vectors of R3 as e1, e2, and e3, then the Clifford product yields the relations
and
The general element of the Clifford algebra Cℓ0,3(R) is given by
The linear combination of the even grade elements of Cℓ0,3(R) defines the even sub algebra Cℓ00,3(R) with the general element
The basis elements can be identified with the quaternion basis elements i, j, k as
which shows that the even sub algebra Cℓ00,3(R) is Hamilton's real quaternion algebra.
To see this, compute
and
Finally,
Dual quaternions
In this section, dual quaternions are constructed as the even Clifford algebra of real four dimensional space with a degenerate quadratic form.[7][8]
Let the vector space V be real four dimensional space R4, and let the quadratic form Q be a degenerate form derived from the Euclidean metric on R3. For v, w in R4 introduce the degenerate bilinear form
This degenerate scalar product projects distance measurements in R4 onto the R3 hyperplane.
The Clifford product of vectors v and w is given by
Note the negative sign is introduced to simplify the correspondence with quaternions.
Denote a set of orthogonal unit vectors of R4 as e1, e2, e3 and e4, then the Clifford product yields the relations
and
The general element of the Clifford algebra Cℓ(R4, d) has 16 components. The linear combination of the even graded elements defines the even sub algebra Cℓ0(R4, d) with the general element
The basis elements can be identified with the quaternion basis elements i, j, k and the dual unit ε as
This provides the correspondence of Cℓ00,3,1(R) with dual quaternion algebra.
To see this, compute
and
The exchanges of e1 and e4 alternate signs an even number of times, and show the dual unit ε commutes with the quaternion basis elements i, j, and k.
Examples: in small dimension
Let K be any field of characteristic not 2.
Rank 1
If Q has diagonalization ⟨a⟩, that is there is a non-zero vector x such that Q(x) = a, then Cℓ(V, Q) is a K-algebra generated by an element x satisfying x2 = a, so it is the étale quadratic algebra K[X] / (X2 − a).
In particular, if a = 0 (that is, Q is the zero quadratic form) then Cℓ(V, Q) is the dual numbers algebra over K.
If a is a non-zero square in K, then Cℓ(V, Q) ≃ K ⊕ K.
Otherwise, Cℓ(V, Q) is the quadratic field extension K(√a) of K.
Rank 2
If Q has diagonalization ⟨a,b⟩ with non-zero a and b (which always exists if Q is non-degenerated), then Cℓ(V, Q) is a K-algebra generated by elements x and y satisfying x2 = a, y2 = b and xy = −yx.
Thus Cℓ(V, Q) is the (generalized) quaternion algebra (a, b)K. We retrieve the real case when a = b = −1, since H = (−1, −1)R.
As a special case, if some x in V satisfies Q(x) = 1, then Cℓ(V, Q) = M2(K).
Properties
Relation to the exterior algebra
Given a vector space V one can construct the exterior algebra Λ(V), whose definition is independent of any quadratic form on V. It turns out that if K does not have characteristic 2 then there is a natural isomorphism between Λ(V) and Cℓ(V, Q) considered as vector spaces (and there exists an isomorphism in characteristic two, which may not be natural). This is an algebra isomorphism if and only if Q = 0. One can thus consider the Clifford algebra Cℓ(V, Q) as an enrichment (or more precisely, a quantization, cf. the Introduction) of the exterior algebra on V with a multiplication that depends on Q (one can still define the exterior product independent of Q).
The easiest way to establish the isomorphism is to choose an orthogonal basis {ei} for V and extend it to a basis for Cℓ(V, Q) as described above. The map Cℓ(V, Q) → Λ(V) is determined by
Note that this only works if the basis {ei} is orthogonal. One can show that this map is independent of the choice of orthogonal basis and so gives a natural isomorphism.
If the characteristic of K is 0, one can also establish the isomorphism by antisymmetrizing. Define functions fk: V × ... × V → Cℓ(V, Q) by
where the sum is taken over the symmetric group on k elements. Since fk is alternating it induces a unique linear map Λk(V) → Cℓ(V, Q). The direct sum of these maps gives a linear map between Λ(V) and Cℓ(V, Q). This map can be shown to be a linear isomorphism, and it is natural.
A more sophisticated way to view the relationship is to construct a filtration on Cℓ(V, Q). Recall that the tensor algebra T(V) has a natural filtration: F0 ⊂ F1 ⊂ F2 ⊂ ..., where Fk contains sums of tensors with order ≤ k. Projecting this down to the Clifford algebra gives a filtration on Cℓ(V, Q). The associated graded algebra
is naturally isomorphic to the exterior algebra Λ(V). Since the associated graded algebra of a filtered algebra is always isomorphic to the filtered algebra as filtered vector spaces (by choosing complements of Fk in Fk+1 for all k), this provides an isomorphism (although not a natural one) in any characteristic, even two.
Grading
In the following, assume that the characteristic is not 2.[9]
Clifford algebras are Z2-graded algebras (also known as superalgebras). Indeed, the linear map on V defined by v ↦ −v (reflection through the origin) preserves the quadratic form Q and so by the universal property of Clifford algebras extends to an algebra automorphism
- α: Cℓ(V, Q) → Cℓ(V, Q).
Since α is an involution (i.e. it squares to the identity) one can decompose Cℓ(V, Q) into positive and negative eigenspaces of α
where Cℓi(V, Q) = {x ∈ Cℓ(V, Q) | α(x) = (−1)ix}. Since α is an automorphism it follows that
where the superscripts are read modulo 2. This gives Cℓ(V, Q) the structure of a Z2-graded algebra. The subspace Cℓ0(V, Q) forms a subalgebra of Cℓ(V, Q), called the even subalgebra. The subspace Cℓ1(V, Q) is called the odd part of Cℓ(V, Q) (it is not a subalgebra). This Z2-grading plays an important role in the analysis and application of Clifford algebras. The automorphism α is called the main involution or grade involution. Elements that are pure in this Z2-grading are simply said to be even or odd.
Remark. In characteristic not 2 the underlying vector space of Cℓ(V, Q) inherits an N-grading and a Z-grading from the canonical isomorphism with the underlying vector space of the exterior algebra Λ(V).[10] It is important to note, however, that this is a vector space grading only. That is, Clifford multiplication does not respect the N-grading or Z-grading, only the Z2-grading: for instance if Q(v) ≠ 0, then v ∈ Cℓ1(V, Q), but v2 ∈ Cℓ0(V, Q), not in Cℓ2(V, Q). Happily, the gradings are related in the natural way: Z2 ≅ N/2N ≅ Z/2Z. Further, the Clifford algebra is Z-filtered: Cℓ≤i(V, Q) ⋅ Cℓ≤j(V, Q) ⊂ Cℓ≤i+j(V, Q). The degree of a Clifford number usually refers to the degree in the N-grading.
The even subalgebra Cℓ0(V, Q) of a Clifford algebra is itself isomorphic to a Clifford algebra.[11][12] If V is the orthogonal direct sum of a vector a of nonzero norm Q(a) and a subspace U, then Cℓ0(V, Q) is isomorphic to Cℓ(U, −Q(a)Q), where −Q(a)Q is the form Q restricted to U and multiplied by −Q(a). In particular over the reals this implies that
- for q > 0, and
- for p > 0.
In the negative-definite case this gives an inclusion Cℓ0,n−1(R) ⊂ Cℓ0,n(R), which extends the sequence
- R ⊂ C ⊂ H ⊂ H ⊕ H ⊂ ...;
Likewise, in the complex case, one can show that the even subalgebra of Cℓn(C) is isomorphic to Cℓn−1(C).
Antiautomorphisms
In addition to the automorphism α, there are two antiautomorphisms which play an important role in the analysis of Clifford algebras. Recall that the tensor algebra T(V) comes with an antiautomorphism that reverses the order in all products:
Since the ideal IQ is invariant under this reversal, this operation descends to an antiautomorphism of Cℓ(V, Q) called the transpose or reversal operation, denoted by xt. The transpose is an antiautomorphism: (xy)t = yt xt. The transpose operation makes no use of the Z2-grading so we define a second antiautomorphism by composing α and the transpose. We call this operation Clifford conjugation denoted
Of the two antiautomorphisms, the transpose is the more fundamental.[13]
Note that all of these operations are involutions. One can show that they act as ±1 on elements which are pure in the Z-grading. In fact, all three operations depend only on the degree modulo 4. That is, if x is pure with degree k then
where the signs are given by the following table:
| k mod 4 | 0 | 1 | 2 | 3 | |
|---|---|---|---|---|---|
| + | − | + | − | (−1)k | |
| + | + | − | − | (−1)k(k−1)/2 | |
| + | − | − | + | (−1)k(k+1)/2 |
Clifford scalar product
When the characteristic is not 2, the quadratic form Q on V can be extended to a quadratic form on all of Cℓ(V, Q) (which we also denoted by Q). A basis independent definition of one such extension is
where ⟨a⟩ denotes the scalar part of a (the grade 0 part in the Z-grading). One can show that
where the vi are elements of V – this identity is not true for arbitrary elements of Cℓ(V, Q).
The associated symmetric bilinear form on Cℓ(V, Q) is given by
One can check that this reduces to the original bilinear form when restricted to V. The bilinear form on all of Cℓ(V, Q) is nondegenerate if and only if it is nondegenerate on V.
It is not hard to verify that the transpose is the adjoint of left/right Clifford multiplication with respect to this inner product. That is,
and
Structure of Clifford algebras
In this section we assume that the vector space V is finite dimensional and that the bilinear form of Q is non-singular. A central simple algebra over K is a matrix algebra over a (finite dimensional) division algebra with center K. For example, the central simple algebras over the reals are matrix algebras over either the reals or the quaternions.
- If V has even dimension then Cℓ(V, Q) is a central simple algebra over K.
- If V has even dimension then Cℓ0(V, Q) is a central simple algebra over a quadratic extension of K or a sum of two isomorphic central simple algebras over K.
- If V has odd dimension then Cℓ(V, Q) is a central simple algebra over a quadratic extension of K or a sum of two isomorphic central simple algebras over K.
- If V has odd dimension then Cℓ0(V, Q) is a central simple algebra over K.
The structure of Clifford algebras can be worked out explicitly using the following result. Suppose that U has even dimension and a non-singular bilinear form with discriminant d, and suppose that V is another vector space with a quadratic form. The Clifford algebra of U + V is isomorphic to the tensor product of the Clifford algebras of U and (−1)dim(U)/2dV, which is the space V with its quadratic form multiplied by (−1)dim(U)/2d. Over the reals, this implies in particular that
These formulas can be used to find the structure of all real Clifford algebras and all complex Clifford algebras; see the classification of Clifford algebras.
Notably, the Morita equivalence class of a Clifford algebra (its representation theory: the equivalence class of the category of modules over it) depends only on the signature (p − q) mod 8. This is an algebraic form of Bott periodicity.
Clifford group
The class of Clifford groups was discovered by Rudolf Lipschitz.[14]
In this section we assume that V is finite dimensional and the quadratic form Q is nondegenerate.
An action on the elements of a Clifford algebra by the group of its invertible elements may be defined in terms of a twisted conjugation: twisted conjugation by x maps y ↦ x y α(x)−1, where α is the main involution defined above.
The Clifford group Γ is defined to be the set of invertible elements x that stabilize vectors under this action, meaning that for all v in V we have:
This formula also defines an action of the Clifford group on the vector space V that preserves the norm Q, and so gives a homomorphism from the Clifford group to the orthogonal group. The Clifford group contains all elements r of V of nonzero norm, and these act on V by the corresponding reflections that take v to v − 2⟨v,r⟩r/Q(r) (In characteristic 2 these are called orthogonal transvections rather than reflections.)
The Clifford group Γ is the disjoint union of two subsets Γ0 and Γ1, where Γi is the subset of elements of degree i. The subset Γ0 is a subgroup of index 2 in Γ.
If V is a finite dimensional real vector space with positive definite (or negative definite) quadratic form then the Clifford group maps onto the orthogonal group of V with respect to the form (by the Cartan–Dieudonné theorem) and the kernel consists of the nonzero elements of the field K. This leads to exact sequences
Over other fields or with indefinite forms, the map is not in general onto, and the failure is captured by the spinor norm.
Spinor norm
In arbitrary characteristic, the spinor norm Q is defined on the Clifford group by
It is a homomorphism from the Clifford group to the group K× of non-zero elements of K. It coincides with the quadratic form Q of V when V is identified with a subspace of the Clifford algebra. Several authors define the spinor norm slightly differently, so that it differs from the one here by a factor of −1, 2, or −2 on Γ1. The difference is not very important in characteristic other than 2.
The nonzero elements of K have spinor norm in the group (K×)2 of squares of nonzero elements of the field K. So when V is finite dimensional and non-singular we get an induced map from the orthogonal group of V to the group K×/(K×)2, also called the spinor norm. The spinor norm of the reflection about r⊥, for any vector r, has image Q(r) in K×/(K×)2, and this property uniquely defines it on the orthogonal group. This gives exact sequences:
Note that in characteristic 2 the group {±1} has just one element.
From the point of view of Galois cohomology of algebraic groups, the spinor norm is a connecting homomorphism on cohomology. Writing μ2 for the algebraic group of square roots of 1 (over a field of characteristic not 2 it is roughly the same as a two-element group with trivial Galois action), the short exact sequence
yields a long exact sequence on cohomology, which begins
The 0th Galois cohomology group of an algebraic group with coefficients in K is just the group of K-valued points: H0(G; K) = G(K), and H1(μ2; K) ≅ K×/(K×)2, which recovers the previous sequence
where the spinor norm is the connecting homomorphism H0(OV; K) → H1(μ2; K).
Spin and Pin groups
In this section we assume that V is finite dimensional and its bilinear form is non-singular. (If K has characteristic 2 this implies that the dimension of V is even.)
The Pin group PinV(K) is the subgroup of the Clifford group Γ of elements of spinor norm ±1, and similarly the Spin group SpinV(K) is the subgroup of elements of Dickson invariant 0 in PinV(K). When the characteristic is not 2, these are the elements of determinant 1. The Spin group usually has index 2 in the Pin group.
Recall from the previous section that there is a homomorphism from the Clifford group onto the orthogonal group. We define the special orthogonal group to be the image of Γ0. If K does not have characteristic 2 this is just the group of elements of the orthogonal group of determinant 1. If K does have characteristic 2, then all elements of the orthogonal group have determinant 1, and the special orthogonal group is the set of elements of Dickson invariant 0.
There is a homomorphism from the Pin group to the orthogonal group. The image consists of the elements of spinor norm 1 ∈ K×/(K×)2. The kernel consists of the elements +1 and −1, and has order 2 unless K has characteristic 2. Similarly there is a homomorphism from the Spin group to the special orthogonal group of V.
In the common case when V is a positive or negative definite space over the reals, the spin group maps onto the special orthogonal group, and is simply connected when V has dimension at least 3. Further the kernel of this homomorphism consists of 1 and −1. So in this case the spin group, Spin(n), is a double cover of SO(n). Please note, however, that the simple connectedness of the spin group is not true in general: if V is Rp,q for p and q both at least 2 then the spin group is not simply connected. In this case the algebraic group Spinp,q is simply connected as an algebraic group, even though its group of real valued points Spinp,q(R) is not simply connected. This is a rather subtle point, which completely confused the authors of at least one standard book about spin groups.
Spinors
Clifford algebras Cℓp,q(C), with p + q = 2n even, are matrix algebras which have a complex representation of dimension 2n. By restricting to the group Pinp,q(R) we get a complex representation of the Pin group of the same dimension, called the spin representation. If we restrict this to the spin group Spinp,q(R) then it splits as the sum of two half spin representations (or Weyl representations) of dimension 2n−1.
If p + q = 2n + 1 is odd then the Clifford algebra Cℓp,q(C) is a sum of two matrix algebras, each of which has a representation of dimension 2n, and these are also both representations of the Pin group Pinp,q(R). On restriction to the spin group Spinp,q(R) these become isomorphic, so the spin group has a complex spinor representation of dimension 2n.
More generally, spinor groups and pin groups over any field have similar representations whose exact structure depends on the structure of the corresponding Clifford algebras: whenever a Clifford algebra has a factor that is a matrix algebra over some division algebra, we get a corresponding representation of the pin and spin groups over that division algebra. For examples over the reals see the article on spinors.
Real spinors
To describe the real spin representations, one must know how the spin group sits inside its Clifford algebra. The Pin group, Pinp,q is the set of invertible elements in Cℓp,q that can be written as a product of unit vectors:
Comparing with the above concrete realizations of the Clifford algebras, the Pin group corresponds to the products of arbitrarily many reflections: it is a cover of the full orthogonal group O(p, q). The Spin group consists of those elements of Pinp, q which are products of an even number of unit vectors. Thus by the Cartan-Dieudonné theorem Spin is a cover of the group of proper rotations SO(p, q).
Let α : Cℓ → Cℓ be the automorphism which is given by the mapping v ↦ −v acting on pure vectors. Then in particular, Spinp,q is the subgroup of Pinp,q whose elements are fixed by α. Let
(These are precisely the elements of even degree in Cℓp,q.) Then the spin group lies within Cℓ0p,q.
The irreducible representations of Cℓp,q restrict to give representations of the pin group. Conversely, since the pin group is generated by unit vectors, all of its irreducible representation are induced in this manner. Thus the two representations coincide. For the same reasons, the irreducible representations of the spin coincide with the irreducible representations of Cℓ0p,q
To classify the pin representations, one need only appeal to the classification of Clifford algebras. To find the spin representations (which are representations of the even subalgebra), one can first make use of either of the isomorphisms (see above)
- Cℓ0p,q ≈ Cℓp,q−1, for q > 0
- Cℓ0p,q ≈ Cℓq,p−1, for p > 0
and realize a spin representation in signature (p, q) as a pin representation in either signature (p, q − 1) or (q, p − 1).
Applications
Differential geometry
One of the principal applications of the exterior algebra is in differential geometry where it is used to define the bundle of differential forms on a smooth manifold. In the case of a (pseudo-)Riemannian manifold, the tangent spaces come equipped with a natural quadratic form induced by the metric. Thus, one can define a Clifford bundle in analogy with the exterior bundle. This has a number of important applications in Riemannian geometry. Perhaps more importantly is the link to a spin manifold, its associated spinor bundle and spinc manifolds.
Physics
Clifford algebras have numerous important applications in physics. Physicists usually consider a Clifford algebra to be an algebra with a basis generated by the matrices γ0, ..., γ3 called Dirac matrices which have the property that
where η is the matrix of a quadratic form of signature (1, 3) (or (3, 1) corresponding to the two equivalent choices of metric signature). These are exactly the defining relations for the Clifford algebra Cℓ1,3(R) up to an unimportant factor of 2, whose complexification is Cℓ1,3(R)C which, by the classification of Clifford algebras, is isomorphic to the algebra of 4 × 4 complex matrices Cℓ4(C) ≈ M4(C). However, it is best to retain the notation Cℓ1,3(R)C, since any transformation that takes the bilinear form to the canonical form is not a Lorentz transformation of the underlying spacetime.
The Clifford algebra of spacetime used in physics thus has more structure than Cℓ4(C). It has in addition a set of preferred transformations – Lorentz transformations. Whether complexification is necessary to begin with depends in part on conventions used and in part on how much one wants to incorporate straightforwardly, but complexification is most often necessary in quantum mechanics where the spin representation of the Lie algebra so(1, 3) sitting inside the Clifford algebra conventionally requires a complex Clifford algebra. For reference, the spin Lie algebra is given by
This is in the (3, 1) convention, hence fits in Cℓ3,1(R)C.[15]
The Dirac matrices were first written down by Paul Dirac when he was trying to write a relativistic first-order wave equation for the electron, and give an explicit isomorphism from the Clifford algebra to the algebra of complex matrices. The result was used to define the Dirac equation and introduce the Dirac operator. The entire Clifford algebra shows up in quantum field theory in the form of Dirac field bilinears.
The use of Clifford algebras to describe quantum theory has been advanced among others by Mario Schönberg,[16] by David Hestenes in terms of geometric calculus, by David Bohm and Basil Hiley and co-workers in form of a hierarchy of Clifford algebras, and by Elio Conte et al.[17][18]
Computer vision
Recently, Clifford algebras have been applied in the problem of action recognition and classification in computer vision. Rodriguez et al.[19] propose a Clifford embedding to generalize traditional MACH filters to video (3D spatiotemporal volume), and vector-valued data such as optical flow. Vector-valued data is analyzed using the Clifford Fourier Transform. Based on these vectors action filters are synthesized in the Clifford Fourier domain and recognition of actions is performed using Clifford Correlation. The authors demonstrate the effectiveness of the Clifford embedding by recognizing actions typically performed in classic feature films and sports broadcast television.
See also
- Algebra of physical space, APS
- Cayley–Dickson construction
- Classification of Clifford algebras
- Clifford analysis
- Clifford module
- Complex spin structure
- Dirac operator
- Exterior algebra
- Gamma matrices
- Generalized Clifford algebra
- Geometric algebra
- Higher-dimensional gamma matrices
- Hypercomplex number
- Octonion
- Paravector
- Quaternion
- Spin group
- Spin structure
- Spinor
- Spinor bundle
Notes
- ↑ W. K. Clifford, "Preliminary sketch of bi-quaternions, Proc. London Math. Soc. Vol. 4 (1873) pp. 381-395
- ↑ W. K. Clifford, Mathematical Papers, (ed. R. Tucker), London: Macmillan, 1882.
- ↑ see for ex. Z. Oziewicz, Sz. Sitarczyk: Parallel treatment of Riemannian and symplectic Clifford algebras. In: Artibano Micali, Roger Boudet, Jacques Helmstetter (eds.): Clifford Algebras and their Applications in Mathematical Physics, Kluwer Academic Publishers, ISBN 0-7923-1623-1, 1992, p. 83
- ↑ Mathematicians who work with real Clifford algebras and prefer positive definite quadratic forms (especially those working in index theory) sometimes use a different choice of sign in the fundamental Clifford identity. That is, they take v2 = −Q(v). One must replace Q with −Q in going from one convention to the other.
- ↑ P. Lounesto (1996), "Counterexamples in Clifford algebras with CLICAL", Clifford Algebras with Numeric and Symbolic Computations: 3–30 or abridged version
- ↑ Lounesto 2001, §1.8.
- ↑ J. M. McCarthy, An Introduction to Theoretical Kinematics, pp. 62–5, MIT Press 1990.
- ↑ O. Bottema and B. Roth, Theoretical Kinematics, North Holland Publ. Co., 1979
- ↑ Thus the group algebra K[Z/2] is semisimple and the Clifford algebra splits into eigenspaces of the main involution.
- ↑ The Z-grading is obtained from the N grading by appending copies of the zero subspace indexed with the negative integers.
- ↑ Technically, it does not have the full structure of a Clifford algebra without a designated vector subspace.
- ↑ We are still assuming that the characteristic is not 2.
- ↑ The opposite is true when using the alternate (−) sign convention for Clifford algebras: it is the conjugate which is more important. In general, the meanings of conjugation and transpose are interchanged when passing from one sign convention to the other. For example, in the convention used here the inverse of a vector is given by v−1 = vt / Q(v) while in the (−) convention it is given by v−1 = v / Q(v).
- ↑ Lounesto 2001, §17.2.
- ↑ Weinberg 2002
- ↑ See the references to Schönberg's papers of 1956 and 1957 as described in section "The Grassmann–Schönberg algebra " of:A. O. Bolivar, Classical limit of fermions in phase space, J. Math. Phys. 42, 4020 (2001) doi:10.1063/1.1386411
- ↑ Conte, Elio (14 Nov 2007). "A Quantum-Like Interpretation and Solution of Einstein, Podolsky, and Rosen Paradox in Quantum Mechanics". arXiv:0711.2260
[quant-ph]. - ↑ Elio Conte: On some considerations of mathematical physics: May we identify Clifford algebra as a common algebraic structure for classical diffusion and Schrödinger equations? Adv. Studies Theor. Phys., vol. 6, no. 26 (2012), pp. 1289–1307
- ↑ Rodriguez, Mikel; Shah, M (2008). "Action MACH: A Spatio-Temporal Maximum Average Correlation Height Filter for Action Classification". Computer Vision and Pattern Recognition (CVPR).
References
- Bourbaki, Nicolas (1988), Algebra, Berlin, New York: Springer-Verlag, ISBN 978-3-540-19373-9, section IX.9.
- Carnahan, S. Borcherds Seminar Notes, Uncut. Week 5, "Spinors and Clifford Algebras".
- Garling, D. J. H. (2011), Clifford algebras. An introduction, London Mathematical Society Student Texts, 78, Cambridge: Cambridge University Press, ISBN 978-1-107-09638-7, Zbl 1235.15025
- Lam, Tsit-Yuen (2005), Introduction to Quadratic Forms over Fields, Graduate Studies in Mathematics, 67, American Mathematical Society, ISBN 0-8218-1095-2, MR 2104929, Zbl 1068.11023
- Lawson, H. Blaine; Michelsohn, Marie-Louise (1989), Spin Geometry, Princeton, NJ: Princeton University Press, ISBN 978-0-691-08542-5. An advanced textbook on Clifford algebras and their applications to differential geometry.
- Lounesto, Pertti (2001), Clifford algebras and spinors, Cambridge: Cambridge University Press, ISBN 978-0-521-00551-7
- Porteous, Ian R. (1995), Clifford algebras and the classical groups, Cambridge: Cambridge University Press, ISBN 978-0-521-55177-9
- Jagannathan, R., On generalized Clifford algebras and their physical applications, arXiv:1005.4300

- Sylvester, J. J., (1882), Johns Hopkins University Circulars I: 241-242; ibid II (1883) 46; ibid III (1884) 7-9. Summarized in The Collected Mathematics Papers of James Joseph Sylvester (Cambridge University Press, 1909) v III .online and further.
- Weinberg, S. (2002), The Quantum Theory of Fields, 1, Cambridge University Press, ISBN 0-521-55001-7
Further reading
- Knus, Max-Albert (1991), Quadratic and Hermitian forms over rings, Grundlehren der Mathematischen Wissenschaften, 294, Berlin: Springer-Verlag, doi:10.1007/978-3-642-75401-2, ISBN 3-540-52117-8, MR 1096299, Zbl 0756.11008
External links
- Hazewinkel, Michiel, ed. (2001), "Clifford algebra", Encyclopedia of Mathematics, Springer, ISBN 978-1-55608-010-4
- Planetmath entry on Clifford algebras
- A history of Clifford algebras (unverified)
- John Baez on Clifford algebras
- Clifford Algebra: A Visual Introduction