Cellulase
| Cellulase | |||||||||
|---|---|---|---|---|---|---|---|---|---|
|
A cellulase enzyme produced by Thermomonospora fusca, with cellotriose bound in the shallow groove of the catalytic domain | |||||||||
| Identifiers | |||||||||
| EC number | 3.2.1.4 | ||||||||
| CAS number | 9012-54-8 | ||||||||
| Databases | |||||||||
| IntEnz | IntEnz view | ||||||||
| BRENDA | BRENDA entry | ||||||||
| ExPASy | NiceZyme view | ||||||||
| KEGG | KEGG entry | ||||||||
| MetaCyc | metabolic pathway | ||||||||
| PRIAM | profile | ||||||||
| PDB structures | RCSB PDB PDBe PDBsum | ||||||||
| Gene Ontology | AmiGO / EGO | ||||||||
| |||||||||

Cellulase is any of several enzymes produced chiefly by fungi, bacteria, and protozoans that catalyze cellulolysis, the decomposition of cellulose and of some related polysaccharides. The name is also used for any naturally occurring mixture or complex of various such enzymes, that act serially or synergistically to decompose cellulosic material.[2]
Cellulases break down the cellulose molecule into monosaccharides ("simple sugars") such as beta-glucose, or shorter polysaccharides and oligosaccharides. Cellulose breakdown is of considerable economic importance, because it makes a major constituent of plants available for consumption and use in chemical reactions. The specific reaction involved is the hydrolysis of the 1,4-beta-D-glycosidic linkages in cellulose, hemicellulose, lichenin, and cereal beta-D-glucans. Because cellulose molecules bind strongly to each other, cellulolysis is relatively difficult compared to the breakdown of other polysaccharides such as starch.[3]
Most mammals have only very limited ability to digest dietary fibres such as cellulose by themselves. In many herbivorous animals such as ruminants like cattle and sheep and hindgut fermenters like horses, cellulases are produced by symbiotic bacteria. Cellulases are produced by a few types of animals, such as some termites.[4][5]
Several different kinds of cellulases are known, which differ structurally and mechanistically. Synonyms, derivatives, and specific enzymes associated with the name "cellulase" include endo-1,4-beta-D-glucanase (beta-1,4-glucanase, beta-1,4-endoglucan hydrolase, endoglucanase D, 1,4-(1,3,1,4)-beta-D-glucan 4-glucanohydrolase), carboxymethyl cellulase (CMCase), avicelase, celludextrinase, cellulase A, cellulosin AP, alkali cellulase, cellulase A 3, 9.5 cellulase, and pancellase SS. Enzymes that cleave lignin are occasionally called cellulases, but this is usually considered erroneous.
Types and action
Five general types of cellulases based on the type of reaction catalyzed:
- Endocellulases (EC 3.2.1.4) randomly cleave internal bonds at amorphous sites that create new chain ends.
- Exocellulases or cellobiohydrolases (EC 3.2.1.91) cleave two to four units from the ends of the exposed chains produced by endocellulase, resulting in tetrasaccharides[6] or disaccharides, such as cellobiose. Exocellulases are further classified into type I, that work processively from the reducing end of the cellulose chain, and type II, that work processively from the nonreducing end.
- Cellobiases (EC 3.2.1.21) or beta-glucosidases hydrolyse the exocellulase product into individual monosaccharides.
- Oxidative cellulases depolymerize cellulose by radical reactions, as for instance cellobiose dehydrogenase (acceptor).
- Cellulose phosphorylases depolymerize cellulose using phosphates instead of water.
Avicelase has almost exclusively exo-cellulase activity, since avicel is a highly micro-crystalline substrate.
Within the above types there are also progressive (also known as processive) and nonprogressive types. Progressive cellulase will continue to interact with a single polysaccharide strand, nonprogressive cellulase will interact once then disengage and engage another polysaccharide strand.
Cellulase action is considered to be synergistic as all three classes of cellulase can yield much more sugar than the addition of all three separately. Aside from ruminants, most animals (including humans) do not produce cellulase in their bodies and can only partially break down cellulose through fermentation, limiting their ability to use energy in fibrous plant material.
Structure
Most fungal cellulases have a two-domain structure, with one catalytic domain and one cellulose binding domain, that are connected by a flexible linker. This structure is adapted for working on an insoluble substrate, and it allows the enzyme to diffuse two-dimensionally on a surface in a caterpillar-like fashion. However, there are also cellulases (mostly endoglucanases) that lack cellulose binding domains. These enzymes might have a swelling function.
Cellulase complexes
In many bacteria, cellulases in-vivo are complex enzyme structures organized in supramolecular complexes, the cellulosomes. They contain roughly five different enzymatic subunits representing namely endocellulases, exocellulases, cellobiases, oxidative cellulases and cellulose phosphorylases wherein only endocellulases and cellobiases participate in the actual hydrolysis of the β(1→ 4) linkage.
The cellulase complex from Trichoderma reesei, for example, comprises a component labeled C1 (57,000 daltons) that separates the chains of crystalline cellulose, an endoglucanase (about 52,000 daltons), an exoglucanase (about 61,000 dalton), and a beta-glucosidase (76,000 daltons).[2]
Numerous "signature" sequences known as dockerins and cohesins have been identified in the genomes of bacteria that produce cellulosomes. Depending on their amino acid sequence and tertiary structures, cellulases are divided into clans and families.[7]
Mechanism of cellulolysis


Uses
Cellulase is used for commercial food processing in coffee. It performs hydrolysis of cellulose during drying of beans. Furthermore, cellulases are widely used in textile industry and in laundry detergents. They have also been used in the pulp and paper industry for various purposes, and they are even used for pharmaceutical applications. Cellulase is used in the fermentation of biomass into biofuels, although this process is relatively experimental at present. Cellulase is used as a treatment for phytobezoars, a form of cellulose bezoar found in the human stomach.
Measurement of cellulase
As the native substrate, cellulose, is a water-insoluble polymer, traditional reducing sugar assays using this substrate can not be employed for the measurement of cellulase activity. Analytical scientists have developed a number of alternative methods.
Viscometric substrates
A viscometer can be used to measure the decrease in viscosity of a solution containing a water-soluble cellulose derivative such as carboxymethyl cellulose upon incubation with a cellulase sample.[9] The decrease in viscosity is directly proportional to the cellulase activity. While such assays are very sensitive and specific for endo-cellulase (exo-acting cellulase enzymes produce little or no change in viscosity), they are limited by the fact that it is hard to define activity in conventional enzyme units (micromoles of substrate hydrolyzed or product produced per minute).
Cellooligosaccharide substrates
The lower DP cello-oligosaccharides (DP2-6) are sufficiently soluble in water to act as viable substrates for cellulase enzymes.[10] However, as these substrates are themselves 'reducing sugars', they are not suitable for use in traditional reducing sugar assays because they generate a high 'blank' value. However their cellulase mediated hydrolysis can be monitored by HPLC or IC methods to gain valuable information on the substrate requirements of a particular cellulase enzyme.
Reduced cellooligosaccharide substrates
Cello-oligosaccharides can be chemically reduced through the action of sodium borohydride to produce their corresponding sugar alcohols. These compounds do not react in reducing sugar assays but their hydrolysis products do. This makes borohydride reduced cello-oligosaccharides valuable substrates for the assay of cellulase using traditional reducing sugar assays such as the Nelson-Symogyi method.[11][12]
Dyed polysaccharide substrates[13]
These substrates can be subdivided into two classes-
- Insoluble chromogenic substrates: An insoluble cellulase substrate such as AZCL-HE-cellulose absorbs water to create gelatinous particles when placed in solution. This substrate is gradually depolymerised and solubilised by the action of cellulase. The reaction is terminated by adding an alkaline solution to stop enzyme activity and the reaction slurry is filtered or centrifuged. The colour in the filtrate or supernatant is measured and can be related to enzyme activity.
- Soluble chromogenic substrates: A cellulase sample is incubated with a water-soluble substrate such as azo-CM-cellulose, the reaction is terminated and high molecular weight, partially hydrolysed fragments are precipitated from solution with an organic solvent such as ethanol or methoxyethanol. The suspension is mixed thoroughly, centrifuged, and the colour in the supernatant solution (due to small, soluble, dyed fragments) is measured. With the aid of a standard curve, the enzyme activity can be determined.
Enzyme coupled reagents

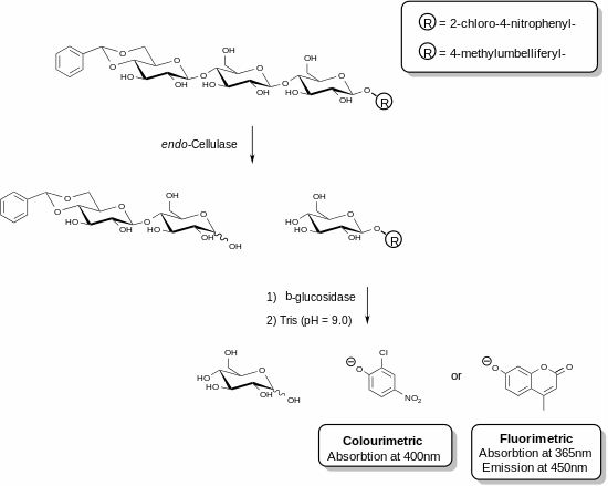
Recently, new reagents have been developed that allow for the specific measurement of endo-cellulase.[14][15] These methods involve the use of functionalised oligosaccharide substrates in the presence of an ancillary enzyme. In the example shown, a cellulase enzyme is able to recognise the trisaccharide fragment of cellulose and cleave this unit. The ancillary enzyme present in the reagent mixture (β-glucosidase) then acts to hydrolyse the fragment containing the chromophore or fluorophore. The assay is terminated by the addition of a basic solution that stops the enzymatic reaction and deprotonates the liberated phenolic compound to produce the phenolate species. The cellulase activity of a given sample is directly proportional to the quantity of phenolate liberated which can be measured using a spectrophotometer. The acetal functionalisation on the non-reducing end of the trisaccharide substrate prevents the action of the ancillary β-glucosidase on the parent substrate.
References
- ↑ PDB: 1NLR; Sulzenbacher G, Shareck F, Morosoli R, Dupont C, Davies GJ (1997). "The Streptomyces lividans family 12 endoglucanase: construction of the catalytic core, expression, and X-ray structure at 1.75 Å resolution". Biochemistry. 36 (51): 16032–16039. doi:10.1021/bi972407v. PMID 9440876.; rendered with PyMOL
- 1 2 Worthington Biochemical Corporation (2014), Cellulase. Accessed on 2014-07-03
- ↑ Barkalow, David G.; Whistler, Roy L. "Cellulose". AccessScience, McGraw-Hill.
- ↑ Bignell DE, Roisin Y, Lo N (2011). Biology of termites: a modern synthesis. Dordrecht: Springer. ISBN 978-9048139767.
- ↑ Watanabe H, Noda H, Tokuda G, Lo N (1998). "A cellulase gene of termite origin". Nature. 394 (6691): 330–1. doi:10.1038/28527. PMID 9690469.
- ↑ Zverlov VV, Schantz N, Schwarz WH (2005). "A major new component in the cellulosome of Clostridium thermocellum is a processive endo-beta-1,4-glucanase producing cellotetraose". FEMS Microbiol. Lett. 249 (2): 353–8. doi:10.1016/j.femsle.2005.06.037. PMID 16006068.
- ↑ Bayer EA, Chanzy H, Lamed R, Shoham Y (1998). "Cellulose, cellulases and cellulosomes". Curr. Opin. Struct. Biol. 8 (5): 548–57. doi:10.1016/S0959-440X(98)80143-7. PMID 9818257.
- ↑ Bhaumik, Prasenjit; Dhepe, Paresh Laxmikant (2015-01-01). Chapter 1. Conversion of Biomass into Sugars. Royal Society of Chemistry. pp. 1–53. doi:10.1039/9781782622079-00001.
- ↑ "The cellulolytic enzymes of Botryodiplodia theobromae Pat. Separation and characterization of cellulases and beta-glucosidases.". Biochem J. 177 (1): 9–19. Jan 1979. PMID 106849.
- ↑ Telke, AA; Zhuang, N; Ghatge, SS; Lee S-H, Ali Shah A; et al. (2013). "Engineering of Family-5 Glycoside Hydrolase (Cel5A) from an Uncultured Bacterium for Efficient Hydrolysis of Cellulosic Substrates". PLoS ONE. 8 (6): e65727. doi:10.1371/journal.pone.0065727.
- ↑ Nelson, N. (1944). "A photometric adaptation of the Somogyi method for the determination of glucose". J. Biol. Chem. 153: 375–80.
- ↑ Somogyi, M. (1952). "Notes on Sugar Determination". J. Biol. Chem. 195: 19–23.
- ↑ "New chromogenic substrates for the assay of alpha-amylase and (1 leads to 4)-beta-D-glucanase.". Carbohydr Res. 86 (1): 97–104. Nov 1980. doi:10.1016/s0008-6215(00)84584-x. PMID 6159974.
- ↑ McCleary, BV; Mangan, D; Daly, R; Fort, S; Ivory, R; McCormack, N. (Feb 2014). "Novel Substrates for the Measurement of endo-1,4-β-Glucanase (endo-cellulase)". Carbohydr Res. 385: 9–17. doi:10.1016/j.carres.2013.12.001.
- ↑ Mangan, D; McCleary, BV; Liadova, A; Ivory, R; McCormack, N. (Aug 2014). "Quantitative fluorometric assay for the measurement of endo-1,4-β-glucanase". Carbohydr Res. 395: 47–51. doi:10.1016/j.carres.2014.05.002.
Further reading
- Chapin FS, Matson PA, Mooney HA (2002). Principles of terrestrial ecosystem ecology (PDF). New York: Springer. ISBN 0-387-95439-2.
- The Merck Manual of Diagnosis and Therapy, Chapter 24
- Deka D, Bhargavi P, Sharma A, Goyal D, Jawed M, Goyal A (2011). "Enhancement of cellulase activity from a new strain of Bacillus subtilis by medium optimization and analysis with various cellulosic substrates". Enzyme Res. 2011: 151656. doi:10.4061/2011/151656. PMC 3102325
. PMID 21637325. - Zafar M, Ahmed S, Khan MI, Jamil A (2014). "Recombinant expression and characterization of a novel endoglucanase from Bacillus subtilis in Escherichia coli.". Mol Biol Rep. 41 (5): 3292–302. doi:10.1007/s11033-014-3192-8. PMID 24493451.
See also
- Cellulose 1,4-beta-cellobiosidase, an efficient cellulase
