Captopril
![]() | |
![]() | |
| Clinical data | |
|---|---|
| Pronunciation | /ˈkæptəprɪl/ |
| Trade names | Capoten |
| AHFS/Drugs.com | Monograph |
| MedlinePlus | a682823 |
| Pregnancy category | |
| Routes of administration | Oral |
| ATC code | C09AA01 (WHO) |
| Legal status | |
| Legal status |
|
| Pharmacokinetic data | |
| Bioavailability | 70–75% |
| Metabolism | Hepatic |
| Biological half-life | 1.9 hours |
| Excretion | Renal |
| Identifiers | |
| |
| CAS Number |
62571-86-2 |
| PubChem (CID) | 44093 |
| IUPHAR/BPS | 5158 |
| DrugBank |
DB01197 |
| ChemSpider |
40130 |
| UNII |
9G64RSX1XD |
| KEGG |
D00251 |
| ChEBI |
CHEBI:3380 |
| ChEMBL |
CHEMBL1560 |
| PDB ligand ID | X8Z (PDBe, RCSB PDB) |
| ECHA InfoCard | 100.057.806 |
| Chemical and physical data | |
| Formula | C9H15NO3S |
| Molar mass | 217.29 g/mol |
| 3D model (Jmol) | Interactive image |
| |
| |
| (verify) | |
Captopril, sold under the trade name Capoten, is an angiotensin-converting enzyme (ACE) inhibitor used for the treatment of hypertension and some types of congestive heart failure.
Captopril was discovered in 1977.[1] It was the first ACE inhibitor developed and was considered a breakthrough both because of its novel mechanism of action and also because of the revolutionary development process.[2] Captopril was discovered and developed at E. R. Squibb & Sons Pharmaceuticals based on concepts pioneered by Nobel Laureate John Vane and is now marketed by Bristol-Myers Squibb.[3]
Medical uses
Captopril's main uses are based on its vasodilation and inhibition of some renal function activities. These benefits are most clearly seen in: 1) Hypertension 2) Cardiac conditions such as congestive heart failure and after myocardial infarction 3) Preservation of kidney function in diabetic nephropathy
Additionally, it has shown mood-elevating properties in some patients. This is consistent with the observation that animal screening models indicate putative antidepressant activity for this compound, although one study has been negative. Formal clinical trials in depressed patients have not been reported.[5]
It has also been investigated for use in the treatment of cancer.[6] Captopril stereoisomers were also reported to inhibit some metallo-β-lactamases.[7]
History
Captopril was developed in 1975 by three researchers at the U.S. drug company Squibb (now Bristol-Myers Squibb): Miguel Ondetti, Bernard Rubin, and David Cushman. Squibb filed for U.S. patent protection on the drug in February 1976 and U.S. Patent 4,046,889 was granted in September 1977.
The development of captopril was among the earliest successes of the revolutionary concept of ligand-based drug design. The renin-angiontensin-aldosterone system had been extensively studied in the mid-20th century, and this system presented several opportune targets in the development of novel treatments for hypertension. The first two targets that were attempted were renin and ACE. Captopril was the culmination of efforts by Squibb's laboratories to develop an ACE inhibitor.
Ondetti, Cushman, and colleagues built on work that had been done in the 1960s by a team of researchers led by John Vane at the Royal College of Surgeons of England. The first breakthrough was made by Kevin K.F. Ng[8][9][10] in 1967, when he found the conversion of angiotensin I to angiotensin II took place in the pulmonary circulation instead of in the plasma. In contrast, Sergio Ferreira[11] found bradykinin disappeared in its passage through the pulmonary circulation. The conversion of angiotensin I to angiotensin II and the inactivation of bradykinin were thought to be mediated by the same enzyme.
In 1970, using bradykinin potentiating factor (BPF) provided by Sergio Ferreira,[12] Ng and Vane found the conversion of angiotensin I to angiotensin II was inhibited during its passage through the pulmonary circulation. BPF was later found to be a peptide in the venom of a lancehead viper (Bothrops jararaca), which was a “collected-product inhibitor” of the converting enzyme. Captopril was developed from this peptide after it was found via QSAR-based modification that the terminal sulfhydryl moiety of the peptide provided a high potency of ACE inhibition.[13][13]
Captopril gained FDA approval on April 6, 1981. The drug became a generic medicine in the U.S. in February 1996, when the market exclusivity held by Bristol-Myers Squibb for captopril expired.
The development of captopril has been claimed as an instance of 'biopiracy' (commercialization of traditional medicines), since no benefits have flowed back to the indigenous Brazilian tribe who first used pit viper venom as an arrowhead poison.[14]
Chemical synthesis
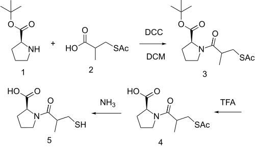
A chemical synthesis of captopril by treatment of L-proline with (2S)-3-acetylthio-2-methylpropanoyl chloride under basic conditions (NaOH), followed by aminolysis of the protective acetyl group to unmask the drug's free thiol, is depicted in the figure at right.[15]
| Captopril synthesis 1 | Captopril synthesis 2 |
|---|---|
![]() Captopril synthesis of Shimazaki, Watanabe, et al. | |
Procedure 2 taken out of patent US4105776. See examples 28, 29a and 36.
Pharmacokinetics
Unlike the majority of ACE inhibitors, captopril is not administered as a prodrug (the only other being lisinopril).[20] About 70% of orally administered captopril is absorbed. Bioavailability is reduced by presence of food in stomach. It is partly metabolised and partly excreted unchanged in urine.[21]
Developments from captopril
Limitations of captopril
The adverse drug reaction (ADR) profile of captopril is similar to other ACE inhibitors, with cough being the most common ADR.[22] However, captopril is also commonly associated with rash and taste disturbances (metallic or loss of taste), which are attributed to the unique thiol moiety.[23]
Captopril also has a relatively poor pharmacokinetic profile. The short half-life necessitates two or three times per day dosing, which may reduce patient compliance.
Subsequent ACE inhibitors
The adverse effect and pharmacokinetic limitations of captopril stimulated the development of enalapril and subsequent ACE inhibitors. These were specifically designed to lack the sulfhydryl moiety believed to be responsible for rash and taste disturbance.[24] Most subsequent ACE inhibitors are given as prodrugs, to improve oral bioavailability. All have longer half-lives and are given once or twice daily, which may improve patient compliance.
Adverse effects
Adverse effects of captopril include cough due to increase in the plasma levels of bradykinin, angioedema, agranulocytosis, proteinuria, hyperkalemia, taste alteration, teratogenicity, postural hypotension, acute renal failure, and leukopenia.[25] Except for postural hypotension, which occurs due to short and fast mode of action of captopril, most of the side effects mentioned are common for all ACE inhibitors. Among these, cough is the most common adverse effect. Hyperkalemia can occur, especially if used with other drugs which elevate potassium level in blood, such as potassium-sparing diuretics. Other side effects are:
Overdose
Captopril (as other ACE inhibitors) overdose can be antagonized with naloxone.[26][27][28]
See also
References
- ↑ Walker, S. R. (2012). Trends and Changes in Drug Research and Development. Springer Science & Business Media. p. 109. ISBN 9789400926592.
- ↑ "Chronicals of Drug Discovery, vol. 2". Journal of Pharmaceutical Sciences. 74: 1029–1030. doi:10.1002/jps.2600740942.
- ↑ Bryan, Jenny (2009). "From snake venom to ACE inhibitor the discovery and rise of captopril". Pharmaceutical Journal. Retrieved 2015-01-08.
- ↑ Akif, M.; Georgiadis, D.; Mahajan, A.; Dive, V.; Sturrock, E. D.; Isaac, R. E.; Acharya, K. R. (2010). "High-Resolution Crystal Structures of Drosophila melanogaster Angiotensin-Converting Enzyme in Complex with Novel Inhibitors and Antihypertensive Drugs". Journal of Molecular Biology. 400 (3): 502–517. doi:10.1016/j.jmb.2010.05.024. PMID 20488190.
- ↑ Novel Pharmacological Approaches to the Treatment of Depression Archived May 12, 2008, at the Wayback Machine.
- ↑ Attoub S; Gaben AM; Al-Salam S; et al. (September 2008). "Captopril as a potential inhibitor of lung tumor growth and metastasis". Ann. N. Y. Acad. Sci. 1138: 65–72. doi:10.1196/annals.1414.011. PMID 18837885.
- ↑ Brem, Jürgen; van Berkel, Sander S.; Zollman, David; Lee, Sook Y.; Gileadi, Opher; McHugh, Peter J.; Walsh, Timothy R.; McDonough, Michael A.; Schofield, Christopher J. (2015-12-31). "Structural Basis of Metallo-β-Lactamase Inhibition by Captopril Stereoisomers". Antimicrobial Agents and Chemotherapy. 60 (1): 142–150. doi:10.1128/AAC.01335-15. ISSN 0066-4804. PMC 4704194
. PMID 26482303. - ↑ Ng, KKF; Vane, JR (1967). "Conversion of angiotensin I to angiotensin II.". Nature. 216: 762–766. doi:10.1038/216762a0.
- ↑ Ng KKF and Vane JR: Fate of angiotensin I in the circulation. Nature, 1968, 218, 144-150.
- ↑ Ng KKF and Vane JR: Some properties of angiotensin converting enzyme in the lung in vivo. Nature, 1970, 225, 1142-1144.
- ↑ Ferreira, SH; Vane, JR (1967). "The disappearance of bradykinin and eledoisin in the circulation and vascular beds of the cat". Br. J. Pharm. Chemother. 30: 417–424. doi:10.1111/j.1476-5381.1967.tb02148.x.
- ↑ Smith CG, Vane JR (May 2003). "The discovery of captopril". FASEB J. 17 (8): 788–9. doi:10.1096/fj.03-0093life. PMID 12724335.
- 1 2 Patlak M (March 2004). "From viper's venom to drug design: treating hypertension". FASEB J. 18 (3): 421. doi:10.1096/fj.03-1398bkt. PMID 15003987.
- ↑ Ellsworth B., Brazil to step up crackdown on "biopiracy" in 2011, Ruters, Dec. 22, 2010
- ↑ Shimazaki, M.; Hasegawa, J.; Kan, K.; Nomura, K.; Nose, Y.; Kondo, H.; Ohashi, T.; Watanabe, K. (1982). "Synthesis of captopril starting from an optically active .BETA.-hydroxy acid". Chem. Pharm. Bull. 30 (9): 3139–3146. doi:10.1248/cpb.30.3139.
- ↑ M. A. Ondetti, D. W. Cushman, DE 2703828; eidem, U.S. Patent 4,046,889 and U.S. Patent 4,105,776 (1977, 1977, 1978 all to Squibb).
- ↑ Ondetti, M.; Rubin, B; Cushman, D. (1977). "Design of specific inhibitors of angiotensin-converting enzyme: New class of orally active antihypertensive agents". Science. 196 (4288): 441–4. doi:10.1126/science.191908. PMID 191908.
- ↑ Cushman, D. W.; Cheung, H. S.; Sabo, E. F.; Ondetti, M. A. (1977). "Design of potent competitive inhibitors of angiotensin-converting enzyme. Carboxyalkanoyl and mercaptoalkanoyl amino acids". Biochemistry. 16 (25): 5484–91. doi:10.1021/bi00644a014. PMID 200262.
- ↑ Nam, Doo H.; Lee, Choon S.; Ryu, Dewey D. Y. (1984). "An improved synthesis of captopril". Journal of Pharmaceutical Sciences. 73 (12): 1843–4. doi:10.1002/jps.2600731251. PMID 6396401.
- ↑ Brown, NJ; Vaughan, DE (1998). "Angiotensin-converting enzyme inhibitors". Circulation. 97 (14): 1411–20. doi:10.1161/01.cir.97.14.1411. PMID 9577953.
- ↑ Duchin, KL; McKinstry, DN; Cohen, AI; Migdalof, BH (1988). "Pharmacokinetics of captopril in healthy subjects and in patients with cardiovascular diseases". Clinical pharmacokinetics. 14 (4): 241–59. doi:10.2165/00003088-198814040-00002. PMID 3292102.
- ↑ Rossi S, editor. Australian Medicines Handbook 2006. Adelaide: Australian Medicines Handbook; 2006.
- ↑ Atkinson, AB; Robertson, JI (1979). "Captopril in the treatment of clinical hypertension and cardiac failure". Lancet. 2 (8147): 836–9. doi:10.1016/S0140-6736(79)92186-X. PMID 90928.
- ↑ Patchett, AA; Harris, E; Tristram, EW; Wyvratt, MJ; Wu, MT; Taub, D; Peterson, ER; Ikeler, TJ; Ten Broeke, J; Payne, L. G.; Ondeyka, D. L.; Thorsett, E. D.; Greenlee, W. J.; Lohr, N. S.; Hoffsommer, R. D.; Joshua, H.; Ruyle, W. V.; Rothrock, J. W.; Aster, S. D.; Maycock, A. L.; Robinson, F. M.; Hirschmann, R.; Sweet, C. S.; Ulm, E. H.; Gross, D. M.; Vassil, T. C.; Stone, C. A. (1980). "A new class of angiotensin-converting enzyme inhibitors". Nature. 288 (5788): 280–3. doi:10.1038/288280a0. PMID 6253826.
- ↑ "Captopril (ACE inhibitor): side effects". lifehugger. 07-09-2008. Retrieved 2009-05-02. Check date values in:
|date=(help) - ↑ Goldfrank's toxicologic emergencies, Lewis R. Goldfrank,Neal Flomenbaum, page 953.
- ↑ Meyler's Side Effects of Analgesics and Anti-inflammatory Drugs, Jeffrey K. Aronson, page 120.
- ↑ Ajayi, A A (1985). "Effect of naloxone on the actions of captopril". Clin Pharmacol Ther. 38 (5): 560–565. doi:10.1038/clpt.1985.224. PMID 2996820.
External links
- U.S. Patent 4,046,889
- RxList monograph: Capoten
- U.S. National Library of Medicine: Drug Information Portal - Captopril




