Bromothymol blue

Bromothymol blue
Names
IUPAC name
4,4′-(1,1-Dioxido-3H-2,1-benzoxathiole-3,3-diyl)bis(2-bromo-6-isopropyl-3-methylphenol)
Identifiers
76-59-5 YesY
3D model (Jmol) Interactive image
ChEBI CHEBI:86155 N
ChemSpider 6208 YesY
ECHA InfoCard 100.000.884
PubChem 6450
UNII VGU4LM0H96 YesY
Properties
C27H28Br2O5S
Molar mass 624.38 g·mol−1
Density 1.25 g/cm3
Melting point 202 °C (396 °F; 475 K)
Sparingly soluble in water[1]
Acidity (pKa) 7.0
Hazards
Safety data sheet See: data page
http://www.sciencelab.com/msds.php?msdsId=9927468
NFPA 704
Flammability code 1: Must be pre-heated before ignition can occur. Flash point over 93 °C (200 °F). E.g., canola oil Health code 2: Intense or continued but not chronic exposure could cause temporary incapacitation or possible residual injury. E.g., chloroform Reactivity code 0: Normally stable, even under fire exposure conditions, and is not reactive with water. E.g., liquid nitrogen Special hazards (white): no codeNFPA 704 four-colored diamond
1
2
0
Supplementary data page
Refractive index (n),
Dielectric constantr), etc.
Thermodynamic
data
Phase behaviour
solidliquidgas
UV, IR, NMR, MS
Except where otherwise noted, data are given for materials in their standard state (at 25 °C [77 °F], 100 kPa).
N verify (what is YesYN ?)
Infobox references

Bromothymol blue (also known as bromothymol sulfone phthalein and BTB) is a pH indicator. It is mostly used in applications that require measuring substances that would have a relatively neutral pH (near 7). A common use is for measuring the presence of carbonic acid in a liquid. It is typically sold in solid form as the sodium salt of the acid indicator.

Bromothymol blue (pH indicator)
below pH 6.0 above pH 7.6
6.0 7.6

Structure and properties

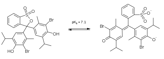
Bromothymol blue acts as a weak acid in solution. It can thus be in protonated or deprotonated form, appearing yellow or blue, respectively. It is bright aquamarine by itself, and greenish-blue in a neutral solution. The deprotonation of the neutral form results in a highly conjugated structure, accounting for the difference in color. An intermediate of the deprotonation mechanism is responsible for the greenish color in neutral solution.[2]

The protonated form of bromothymol blue has its peak absorption at 692 nm thus reflecting yellow light in acidic solutions, and the deprotonated form has its peak absorption at 602 nm thus reflecting blue light in more basic solutions.[3]

The general carbon skeleton of bromothymol blue is common to many indicators including chlorophenol red, thymol blue, and bromocresol green.[2]

The presence of one moderate electron withdrawing group (bromine atom) and two moderate donating groups (alkyl substituents) are responsible for bromothymol blue's active indication range from a pH of 6.0 to 7.6. While the conjugation is responsible for the length and nature of the color change range, these substituent groups are ultimately responsible for the indicator's active range.[2]

Structure at different pH ranges

Bromothymol blue is sparingly soluble in oil, but soluble in water, ether, and aqueous solutions of alkalis. It is less soluble in nonpolar solvents such as benzene, toluene, and xylene, and practically insoluble in petroleum ether.[4]

Preparation

To prepare a solution for use as pH indicator, dissolve 0.10 g in 8.0 cm3 N/50 NaOH and dilute with water to 250 cm3. To prepare a solution for use as indicator in volumetric work, dissolve 0.1 g in 100 cm3 of 50% (v/v) ethanol.[4]

Uses

The different colors of bromothymol blue. From left to right: blank, pH 4, 6.2, 6.6, 7.2, 7.5, 8, and 12

Bromothymol blue may be used for observing photosynthetic activities, or as a respiratory indicator (turns yellow as CO2 is added).[5][6] A common demonstration of BTB's pH indicator properties involves exhaling through a tube into a neutral solution of BTB. As carbon dioxide is absorbed from the breath into the solution, forming carbonic acid, the solution changes color from green to yellow. Thus, BTB is commonly used in science classes to demonstrate that the more that muscles are used, the greater the CO2 output.

Bromothymol blue has been used in conjunction with phenol red to monitor the fungal asparaginase enzyme activity with phenol red turning pink and bromothymol blue turning blue indicating an increase in pH and therefore enzyme activity. However, a recent study suggests that methyl red is more useful in determining activity due to the bright yellow ring form in the zone of enzyme activity.[7]

It may also be used in the laboratory as a biological slide stain. At this point, it is already blue, and a few drops are used on a water slide. The cover slip is placed on top of the water droplet and the specimen in it, with the blue coloring mixed in. It is sometimes used to define cell walls or nuclei under the microscope.

Bromothymol is used in obstetrics for detecting premature rupture of membranes. Amniotic fluid typically has a pH > 7.2, bromothymol will therefore turn blue when brought in contact with fluid leaking from the amnion. As vaginal pH normally is acidic, the blue color indicates the presence of amniotic fluid. The test may be false-positive in the presence of other alkaline substances such as blood or semen, or in the presence of bacterial vaginosis.

See also

References

  1. "Archived copy". Archived from the original on 2015-11-26. Retrieved 2015-12-11.
  2. 1 2 3 De Meyer, Thierry (March 2014). "Substituent effects on absorption spectra of pH indicators: An experimental and computational study of sulfonphthaleine dyes". Dyes and Pigments. 102: 241–250. doi:10.1016/j.dyepig.2013.10.048. Retrieved 18 November 2014.
  3. Nahhal; et al. (18 July 2012). "Thin film optical BTB pH sensors using sol–gel method in presence of surfactants" (PDF). International Nano Letters. 2 (16): 3. Retrieved 18 November 2014.
  4. 1 2 O'Neil, Maryadele J (2006). The Merck Index. Merck Research Laboratory. p. 1445. ISBN 978-0-911910-00-1.
  5. Sabnis R. W. (2007). Handbook of Acid-Base Indicators. CRC Press. ISBN 0-8493-8218-1.
  6. Sabnis R. W. (2010). Handbook of Biological Dyes and Stains: Synthesis and Industrial Applications (1st ed.). Wiley. ISBN 0-470-40753-0.
  7. Dhale, Mohan (July 2014). "A comparative rapid and sensitive method to screen l-asparaginase producing fungi". Journal of Microbiological Methods. 102: 66–68. doi:10.1016/j.mimet.2014.04.010. Retrieved 18 November 2014.
This article is issued from Wikipedia - version of the 11/30/2016. The text is available under the Creative Commons Attribution/Share Alike but additional terms may apply for the media files.