Electrophilic halogenation
In organic chemistry, an electrophilic aromatic halogenation is a type of electrophilic aromatic substitution. This organic reaction is typical of aromatic compounds and a very useful method for adding substituents to an aromatic system.
A few types of aromatic compounds, such as phenol, will react without a catalyst, but for typical benzene derivatives with less reactive substrates, a Lewis acid catalyst is required. Typical Lewis acid catalysts include AlCl3, FeCl3, FeBr3, and ZnCl2. These work by forming a highly electrophilic complex which is attacked by the benzene ring.
Reaction mechanism
The reaction mechanism for chlorination of benzene is the same as bromination of benzene. Iron(III) bromide and iron(III) chloride become inactivated if they react with water, including moisture in the air. Therefore, they are generated by adding iron filings to bromine or chlorine. Here is the mechanism of this reaction:
The mechanism for iodination is slightly different: iodine (I2) is treated with an oxidizing agent such as nitric acid to obtain the electrophilic iodine (2 I+). Unlike the other halogens, iodine does not serve as a base since it is positive. In one study the iodinization reagent is a mixture of iodine and iodic acid.[1]
In another series of studies the powerful reagent obtained by using a mixture of iodine and potassium iodate dissolved in concentrated sulfuric acid was used. Here the iodinating agent is the triiodine cation I+
3 and the base is HSO−
4. In these studies both the kinetics of the reaction and the preparative conditions for the iodination of strongly deactivated compounds, such as benzoic acid and 3-nitrobenzotrifluoride, were investigated.[2][3]
Halogenation of aromatic compounds differs from the halogenation of alkenes, which do not require a Lewis Acid catalyst. The formation of the arenium ion results in the temporary loss of aromaticity, which has a higher activation energy compared to carbocation formation in alkenes. In other words, alkenes are more reactive and do not need to have the Br–Br or Cl–Cl bond weakened.
Scope
If the ring contains a strongly activating substituent such as –OH, –OR or amines, a catalyst is not necessary, for example in the bromination of p-cresol:[4]
However, if a catalyst is used with excess bromine, then a tribromide will be formed.
Halogenation of phenols is faster in polar solvents due to the dissociation of phenol, with phenoxide ions being more susceptible to electrophilic attack as they are more electron-rich.
Chlorination of toluene with chlorine without catalyst requires a polar solvent as well such as acetic acid. The ortho to para selectivity is low:[5]
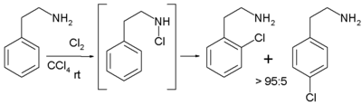
No reaction takes place when the solvent is replaced by tetrachloromethane. In contrast, when the reactant is 2-phenylethylamine, it is possible to employ relatively apolar solvents with exclusive ortho- regioselectivity due to the intermediate formation of a chloramine making the subsequent reaction step intramolecular.
The food dye erythrosine can be synthesized by iodination of another dye called fluorescein:
This reaction is driven by sodium bicarbonate.[6]
See also
References
- ↑ "Regioselective iodination of hydroxylated aromatic ketones" Bhagwan R. Patila, Sudhakar R. Bhusarec, Rajendra P. Pawara, and Yeshwant B. Vibhute b Arkivoc 2006 (i) 104–108. Online Article
- ↑ "The kinetics of aromatic iodination by means of the tri-iodine cation", J. Arotsky, A. C. Darby and J. B. A. Hamilton, J. Chem. Soc. B, 1968, 739–742
- ↑ "Iodination and iodo-compounds Part IV", Judah Arotsky, A. Carl Darby and John B. A. Hamilton, J. Chem. Soc., Perkin Trans. 2, 1973, 595–599
- ↑ A. Sankaranarayanan; S. B. Chandalia (2006). "Process Development of the Synthesis of 3,4,5-Trimethoxytoluene". Org. Process Res. Dev. 10 (3): 487–492. doi:10.1021/op0502248.
- ↑ J. L. O'Connell; J. S. Simpson; P. G. Dumanski; G. W. Simpson; C. J. Easton (2006). "Aromatic chlorination of ω-phenylalkylamines and ω-phenylalkylamides in carbon tetrachloride and α,α,α-trifluorotoluene". Organic & Biomolecular Chemistry. 4 (14): 2716–2723. doi:10.1039/b605010g. PMID 16826296.
- ↑ "Synthesis of Triarylmethane and Xanthene Dyes Using Electrophilic Aromatic Substitution Reactions" James V. McCullagh and Kelly A. Daggett J. Chem. Educ. 2007, 84, 1799. Abstract





