Apoatropine
![]() | |
| Names | |
|---|---|
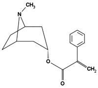
| IUPAC name
(8-Methyl-8-azabicyclo[3.2.1]octan-3-yl) 2-phenylprop-2-enoate | |
| Identifiers | |
| 207-906-7 | |
| 3D model (Jmol) | Interactive image |
| PubChem | 64695 |
| |
| Properties | |
| C17H21NO2 | |
| Molar mass | 271.36 g·mol−1 |
| Except where otherwise noted, data are given for materials in their standard state (at 25 °C [77 °F], 100 kPa). | |
| Infobox references | |
Apoatropine is a member of class of tropane alkaloids. Apoatropine can be found in plants of Solanaceae family.
See also
References
- ↑ Pubchem. "Apoatropine". nih.gov.
This article is issued from Wikipedia - version of the 10/22/2015. The text is available under the Creative Commons Attribution/Share Alike but additional terms may apply for the media files.
