Alkyne metathesis

Alkyne metathesis is an organic reaction involving the redistribution of alkyne chemical bonds.[1] This reaction is closely related to olefin metathesis. Metal-catalyzed alkyne metathesis was first described in 1968 by Bailey, et al. The Bailey system utilized a mixture of tungsten and silicon oxides at temperatures as high as 450 °C. In 1974 Mortreux reported the use of a homogeneous catalyst—molybdenum hexacarbonyl at 160 °C—to observe an alkyne scrambling phenomenon, in which an unsymmetrical alkyne equilibrates with its two symmetrical derivatives.[2]
History
The Mortreux system consists of the molybdenum catalyst molybdenum hexacarbonyl Mo(CO)6 and resorcinol cocatalyst. In 1975 T.J. Katz proposed a metal carbyne and a metallacyclobutadiene as an intermediate and in 1981 R.R. Schrock characterized several metallacyclobutadiene complexes that were catalytically active.
The Schrock catalyst system tris(t-butoxy)(2,2-dimethylpropylidyne)tungsten(VI) is unreactive towards alkenes.[3] On the other hand Fischer carbenes have no value in alkyne or alkene metathesis.
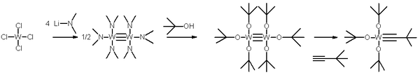
The Schrock catalyst is commercially available and is prepared by amidation of tungsten tetrachloride with lithium dimethylamide to a W2(NMe2)6 which undergoes alcoholysis by tert-butoxy groups with tert-butanol.
This alkylidyne complex undergoes a metathesis with neoheptyne to give the final product. In 2001, Fürstner reported a new molybdenum catalyst replacing alkoxide with aniline ligands.[4]
Ring closing alkyne metathesis
Alkyne metathesis is extensively used in ring-closing operations and RCAM stands for ring closing alkyne metathesis. The olfactory molecule civetone can be synthesised from a di-alkyne. After ring closure the new triple bond is stereoselectively reduced with hydrogen and the lindlar catalyst in order to obtain the Z-alkene (cyclic E-alkenes are available through the Birch reduction). An important driving force for this type of reaction is the expulsion of small gaseous molecules such as acetylene or 2-butyne.
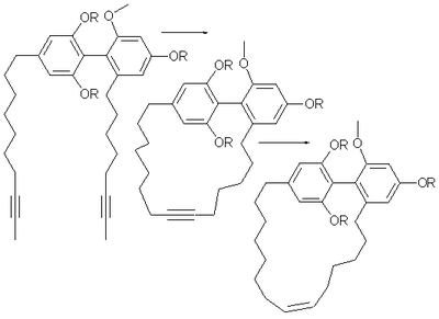
The same two-step procedure was used in the synthesis of the naturally occurring cyclophane turriane.
Nitrile-alkyne cross-metathesis
By replacing a tungsten alkylidyne by a tungsten nitride and introducing a nitrile Nitrile-Alkyne Cross-Metathesis or NACM couples two nitrile groups together to a new alkyne. Nitrogen is collected by use of a sacrificial alkyne (elemental N2 is not formed):[5][6]
External links
References
- ↑ Fürstner, A.; Davies, P. W. (2005). "Alkyne metathesis". Chemical Communications (18): 2307–2320. doi:10.1039/b419143a.
- ↑ Fürstner, A.; Mathes, C.; Lehmann, C. W. (1999). "Mo[N(t-Bu)(Ar)]3 Complexes As Catalyst Precursors: In Situ Activation and Application to Metathesis Reactions of Alkynes and Diynes". J. Am. Chem. Soc. 121 (40): 9453–9454. doi:10.1021/ja991340r.
- ↑ Schrock, R. R.; Clark, D. N.; Sancho, J.; Wengrovius, J. H.; Rocklage, S. M.; Pedersen, S. F. (1982). "Tungsten(VI) neopentylidyne complexes". Organometallics 1 (12): 1645–1651. doi:10.1021/om00072a.
- ↑ Mortreux, Andre (1974). "Metathesis of alkynes by a molybdenum hexacarbonyl–resorcinol catalyst". Chemical Communications (19): 786–787. doi:10.1039/C39740000786.
- ↑ Geyer, A. M.; Gdula, R. K.; Wiedner, E. S.; Johnson, M. J. A. (2007). "Catalytic Nitrile-Alkyne Cross-Metathesis". J. Am. Chem. Soc. 129 (13): 3800–3801. doi:10.1021/ja0693439.
- ↑ Ritter, S. (March 26, 2007). "Nitrile-Alkyne Cross-Metathesis". Chemical & Engineering News.






