Density of air

Air density
  Air density     ρ     (in Greek: rho)


Representation of an air sample
thermodynamic property
Volumetric mass density
List of thermodynamic properties
List of materials properties
General information
property Air density
symbol ρ
Variable of state yes
Type of property material
      dependence of the mass intensive
Dimensional function M.L−3
Units kg.m−3
property value 1.2922 kg.m−3
Common units
International System (SI) kg.m−3
Imperial units lb.ft−3
CGS System (CGS) g.cm−3
Standard value(s) Air density
Calculation variables IUPAC
absolute pressure - p 100000.0 Pa
absolute temperature - T 273.15 K
Gas constant - Rspecific 287.058 J.kg−1.K−1
Value in calculation conditions IUPAC
Air density - ρ 1.2754 kg.m−3
Calculation Variables STP
absolute pressure - p 100000.0 Pa
absolute temperature - T 273.15 K
molar volume - Vm 22.710953 l.mol−1
molar mass - Mair 28.9645 g.mol−1
Value in calculation conditions STP
Air density - ρ 1.2754 kg.m−3
Calculation Variables NIST
absolute pressure - p 101325.0 Pa
absolute temperature - T 273.15 K
molar volume - Vm 22.413968 l.mol−1
molar mass - Mair 28.9645 g.mol−1
Value in calculation conditions NIST
Air density - ρ 1.2922 kg.m−3
Calculation Variables Imperial units
absolute pressure - p 14.695858 psia (lbf.in−2)
absolute temperature - T 491.67 °R (32 °F)
Gas constant - Rspecific 53.3533 ft.lbf.lbm−1.°R−1
Value in calculation conditions Imperial units
Air density - ρ 0.080672 lbm.ft−3
Calculation Variables
Value in calculation conditions
Calculation Variables
Value in calculation conditions
Equations
Basic equation
Ideal gas equation
Ideal gas equation (another form)
  
Units of SI & NIST in the field of general information,
unless otherwise stated

The density of air (air density) is the mass per unit volume of Earth's atmosphere. Air density, like air pressure, decreases with increasing altitude. It also changes with variation in temperature or humidity. At sea level and at 15 °C air has a density of approximately 1.225 kg/m3 (0.001225 g/cm3, 0.0023769 slug/ft3, 0.0765 lbm/ft3) according to ISA (International Standard Atmosphere).

The air density is a property used in many branches of science as aeronautics;[1][2][3] gravimetric analysis;[4] the air-conditioning[5] industry; atmospheric research and meteorology;[6][7][8] the agricultural engineering in their modeling and tracking of Soil-Vegetation-Atmosphere-Transfer (SVAT) models;[9][10][11] and the engineering community that deals with compressed air[12] from industry utility, heating, drying and cooling processes[12] in industries like cooling towers, vacuum and deep vacuum processes,[5] high pressure processes,[5] gas and light oil combustion processes[5][12] that power turbine-powered airplanes, gas turbine-powered generators and heating furnaces, and air conditioning[5] from deep mines to space capsules.

Density of air calculations

Depending on the measuring instruments, use, area of expertise and necessary rigor of the result different calculation criteria and sets of equations for the calculation of the density of air are used. This topic are some examples of calculations with the main variables involved, the amounts presented throughout these examples are properly referenced usual values, different values can be found in other references depending on the criteria used for the calculation . Furthermore we must pay attention to the fact that air is a mixture of gases and the calculation always simplify, to a greater or lesser extent, the properties of the mixture and the values for the composition according to the criteria of calculation.[1][2][3][4][5][6][7][8][9][10][11][12]

Density of air variables

Temperature and pressure

The density of dry air can be calculated using the ideal gas law, expressed as a function of temperature and pressure:

where:

air density (kg/m3)[note 1]
absolute pressure (Pa)[note 1]
absolute temperature (K)[note 1]
specific gas constant for dry air (J/(kg·K))[note 1]

The specific gas constant for dry air is 287.058 J/(kg·K) in SI units, and 53.35 (ft·lbf)/(lbm·°R) in United States customary and Imperial units. This quantity may vary slightly depending on the molecular composition of air at a particular location.

Therefore:

The following table illustrates the air density–temperature relationship at 1 atm or 101.325 kPa:

Effect of temperature on properties of air
Temperature
T (°C)
Speed of sound
c (m/s)
Density of air
ρ (kg/m3)
Characteristic specific acoustic impedance
z0 (Pa·s/m)
35 351.88 1.1455 403.2
30 349.02 1.1644 406.5
25 346.13 1.1839 409.4
20 343.21 1.2041 413.3
15 340.27 1.2250 416.9
10 337.31 1.2466 420.5
5 334.32 1.2690 424.3
0 331.30 1.2922 428.0
−5 328.25 1.3163 432.1
−10 325.18 1.3413 436.1
−15 322.07 1.3673 440.3
−20 318.94 1.3943 444.6
−25 315.77 1.4224 449.1

Humidity (water vapor)

Main article: Humidity

The addition of water vapor to air (making the air humid) reduces the density of the air, which may at first appear counter-intuitive. This occurs because the molar mass of water (18 g/mol) is less than the molar mass of dry air[note 2] (around 29 g/mol). For any gas, at a given temperature and pressure, the number of molecules present is constant for a particular volume (see Avogadro's Law). So when water molecules (water vapor) are added to a given volume of air, the dry air molecules must decrease by the same number, to keep the pressure or temperature from increasing. Hence the mass per unit volume of the gas (its density) decreases.

The density of humid air may be calculated as a mixture of ideal gases. In this case, the partial pressure of water vapor is known as the vapor pressure. Using this method, error in the density calculation is less than 0.2% in the range of −10 °C to 50 °C. The density of humid air is found by:

  [13]

where:

Density of the humid air (kg/m³)
Partial pressure of dry air (Pa)
Specific gas constant for dry air, 287.058 J/(kg·K)
Temperature (K)
Pressure of water vapor (Pa)
Specific gas constant for water vapor, 461.495 J/(kg·K)
Molar mass of dry air, 0.028964 kg/mol
Molar mass of water vapor, 0.018016 kg/mol
Universal gas constant, 8.314 J/(K·mol)
The movement of the helicopter rotor leads to a difference in pressure between the upper and lower blade surfaces, allowing the helicopter to fly. A consequence of the pressure change is local variation in air density, strongest in the boundary layer or at transonic speeds.

The vapor pressure of water may be calculated from the saturation vapor pressure and relative humidity. It is found by:

where:

Vapor pressure of water
Relative humidity
Saturation vapor pressure

The saturation vapor pressure of water at any given temperature is the vapor pressure when relative humidity is 100%. One formula [14] used to find the saturation vapor pressure is:

where is in degrees C.

note:
  • This equation will give the result of pressure in hPa (100 Pa, equivalent to the older unit millibar, 1 mbar = 0.001 bar = 0.1 kPa)

The partial pressure of dry air is found considering partial pressure, resulting in:

Where simply denotes the observed absolute pressure.

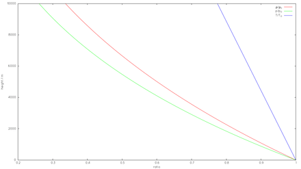
Altitude

Standard Atmosphere: p0 = 101.325 kPa, T0 = 288.15 K, ρ0 = 1.225 kg/m3

To calculate the density of air as a function of altitude, one requires additional parameters. They are listed below, along with their values according to the International Standard Atmosphere, using for calculation the universal gas constant instead of the air specific constant:

sea level standard atmospheric pressure, 101.325 kPa
sea level standard temperature, 288.15 K
earth-surface gravitational acceleration, 9.80665 m/s2
temperature lapse rate, 0.0065 K/m
ideal (universal) gas constant, 8.31447 J/(mol·K)
molar mass of dry air, 0.0289644 kg/mol

Temperature at altitude meters above sea level is approximated by the following formula (only valid inside the troposphere):

The pressure at altitude is given by:

Density can then be calculated according to a molar form of the ideal gas law:

where:

molar mass
ideal gas constant
absolute temperature
absolute pressure

Composition

The air composition adopted for each set of equations varies with the references used in the table below are listed some examples of air composition according to the references. Despite minor differences to define all formulations the predicted molar mass of dry air and below table shows these differences. Importantly, some of the examples are not normalized so that the composition is equal to unity (100%), before they used should be normalized.

Composition of dry atmosphere, by volume[▽note 1]
Gas (and others) Volume by various[15][▽note 2] Volume by CIPM-2007[16] Volume by ASHRAE[17] Volume by Schlatter[18] Volume by ICAO[19] Volume by US StdAtm76[20]

Tap

this

text

to

expand

or

collapse

the

table

 ppmv[▽note 3] percentile  ppmv percentile  ppmv percentile  ppmv percentile  ppmv percentile  ppmv percentile
Nitrogen (N2) 780,800 (78.080%) 780,848 (78.0848%) 780,818 (78.0818%) 780,840 (78.084%) 780,840 (78.084%) 780,840 (78.084%)
Oxygen (O2) 209,500 (20.950%) 209,390 (20.9390%) 209,435 (20.9435%) 209,460 (20.946%) 209,476 (20.9476%) 209,476 (20.9476%)
Argon (Ar) 9,340 (0.9340%) 9,332 (0.9332%) 9,332 (0.9332%) 9,340 (0.9340%) 9,340 (0.9340%) 9,340 (0.9340%)
Carbon dioxide (CO2) 397.8 (0.03978%) 400 (0.0400%) 385 (0.0385%) 384 (0.0384%) 314 (0.0314%) 314 (0.0314%)
Neon (Ne) 18.18 (0.001818%) 18.2 (0.00182%) 18.2 (0.00182%) 18.18 (0.001818%) 18.18 (0.001818%) 18.18 (0.001818% )
Helium (He) 5.24 (0.000524%) 5.2 (0.00052%) 5.2 (0.00052%) 5.24 (0.000524%) 5.24 (0.000524%) 5.24 (0.000524% )
Methane (CH4) 1.81 (0.000181%) 1.5 (0.00015%) 1.5 (0.00015%) 1.774 (0.0001774%) 2 (0.0002%) 2 (0.0002%)
Krypton (Kr) 1.14 (0.000114%) 1.1 (0.00011%) 1.1 (0.00011%) 1.14 (0.000114%) 1.14 (0.000114%) 1.14 (0.000114%)
Hydrogen (H2) 0.55 (0.000055%) 0.5 (0.00005%) 0.5 (0.00005%) 0.56 (0.000056%) 0.5 (0.00005%) 0.5 (0.00005%)
Nitrous oxide (N2O) 0.325 (0.0000325%) 0.3 (0.00003%) 0.3 (0.00003%) 0.320 (0.0000320%) 0.5 (0.00005%) - -
Carbon monoxide (CO) 0.1 (0.00001% ) 0.2 (0.00002%) 0.2 (0.00002%) - - - - - -
Xenon (Xe) 0.09 (0.000009%) 0.1 (0.00001%) 0.1 (0.00001%) 0.09 (0.000009%) 0.087 (0.0000087%) 0.087 (0.0000087%)
Nitrogen dioxide (NO2) 0.02 (0.000002%) - - - - - - up to 0.02 up to (0.000002%) - -
Iodine (I2) 0.01 (0.000001%) - - - - - - up to 0.01 up to (0.000001%) - -
Ammonia (NH3) trace trace - - - - - - - -
Sulphur dioxide (SO2) trace trace - - - - - - up to 1.00 up to (0.0001%) - -
Ozone (O3) 0.02 to 0.07

[▽note 4]

(2 to 7×10−6%)

[▽note 4]

- - - - 0.01 to 0.10

[▽note 4]

(1 to 10×10−6%)

[▽note 4]

up to 0.02 to 0.07

[▽note 4] [▽note 5]

up to (2 to 7×10−6%)

[▽note 4] [▽note 5]

- -
Trace to 30 ppm [▽note 6] (----) - - - - 2.9 (0.00029%) - - - - - -
Dry air total (air) 1,000,065.265 (100.0065265%) 999,997.100 (99.9997100%) 1,000,000.000 (100.0000000%) 1,000,051.404 (100.0051404%) 999,998.677 (99.9998677%) 1,000,080.147 (100.0080147%)
Not included in above dry atmosphere:
Water vapor (H2O) ~0.25% by mass over full atmosphere, locally 0.001%–5% by volume.[21] ~0.25% by mass over full atmosphere, locally 0.001%–5% by volume.[21]
  1. ▽Concentration pertains to the troposphere
  2. ▽The NASA total value do not add up to exactly 100% due to roundoff and uncertainty. To normalize, N2 should be reduced by about 51.46 ppmv and O2 by about 13.805 ppmv.
  3. ▽ppmv: parts per million by volume (note: volume fraction is equal to mole fraction for ideal gas only, see volume (thermodynamics))
  4. 1 2 3 4 5 6 ▽values disregarded for the calculation of total dry air
  5. 1 2 ▽(O3) concentration up to 0.07 ppmv (7×10−6%) in summer and up to 0.02 ppmv (2×10−6%) in winter
  6. ▽volumetric composition value adjustment factor (sum of all trace gases, below the (CO2), and adjusts for 30 ppmv)

See also

Notes

  1. 1 2 3 4 In the SI unit system. However, other units can be used.
  2. like the dry air is a mixture of gases his molar mass is a pondered molar mass of their components

References

  1. 1 2 Olson, Wayne M. (2000) AFFTC-TIH-99-01, Aircraft Performance Flight
  2. 1 2 ICAO, Manual of the ICAO Standard Atmosphere (extended to 80 kilometres (262 500 feet)), Doc 7488-CD, Third Edition, 1993, ISBN 92-9194-004-6.
  3. 1 2 Grigorie, T.L., Dinca, L., Corcau J-I. and Grigorie, O. (2010) Aircrafts’ [sic] Altitude Measurement Using Pressure Information:Barometric Altitude and Density Altitude
  4. 1 2 A., Picard, R.S., Davis, M., Gläser and K., Fujii (CIPM-2007) Revised formula for the density of moist air
  5. 1 2 3 4 5 6 S. Herrmann, H.-J. Kretzschmar, and D.P. Gatley (2009), ASHRAE RP-1485 Final Report
  6. 1 2 F.R. Martins, R.A. Guarnieri e E.B. Pereira, (2007) O aproveitamento da energia eólica (The wind energy resource).
  7. 1 2 Andrade, R.G., Sediyama, G.C., Batistella, M., Victoria, D.C., da Paz, A.R., Lima, E.P., Nogueira, S.F. (2009) Mapeamento de parâmetros biofísicos e da evapotranspiração no Pantanal usando técnicas de sensoriamento remoto
  8. 1 2 Marshall,John and Plumb,R. Alan (2008), Atmosphere, ocean, and climate dynamics: an introductory text ISBN 978-0-12-558691-7.
  9. 1 2 Pollacco, J. A., and B. P. Mohanty (2012), Uncertainties of Water Fluxes in Soil-Vegetation-Atmosphere Transfer Models: Inverting Surface Soil Moisture and Evapotranspiration Retrieved from Remote Sensing, Vadose Zone Journal, 11(3), doi:10.2136/vzj2011.0167.
  10. 1 2 Shin, Y., B. P. Mohanty, and A.V.M. Ines (2013), Estimating Effective Soil Hydraulic Properties Using Spatially Distributed Soil Moisture and Evapotranspiration, Vadose Zone Journal, 12(3), doi:10.2136/vzj2012.0094.
  11. 1 2 Saito, H., J. Simunek, and B. P. Mohanty (2006), Numerical Analysis of Coupled Water, Vapor, and Heat Transport in the Vadose Zone, Vadose Zone J. 5: 784-800.
  12. 1 2 3 4 Perry, R.H. and Chilton, C.H., eds., Chemical Engineers’ Handbook, 5th ed., McGraw-Hill, 1973.
  13. Shelquist,R (2009) Equations - Air Density and Density Altitude
  14. Shelquist,R (2009) Algorithms - Schlatter and Baker
  15. Partial sources for figures: Base constituents, Nasa earth factsheet, (updated 2014-03). Carbon dioxide, NOAA Earth System Research Laboratory, (updated 2014-03). Methane and Nitrous Oxide, The NOAA Annual greenhouse gas index(AGGI) Greenhouse gas-Figure 2, (updated 2014-03).
  16. A., Picard, R.S., Davis, M., Gläser and K., Fujii (2008), Revised formula for the density of moist air (CIPM-2007), Metrologia 45 (2008) 149–155 doi:10.1088/0026-1394/45/2/004, pg 151 Table 1
  17. S. Herrmann, H.-J. Kretzschmar, and D.P. Gatley (2009), ASHRAE RP-1485 Final Report Thermodynamic Properties of Real Moist Air,Dry Air, Steam, Water, and Ice pg 16 Table 2.1 and 2.2
  18. Thomas W. Schlatter (2009), Atmospheric Composition and Vertical Structure pg 15 Table 2
  19. ICAO, Manual of the ICAO Standard Atmosphere (extended to 80 kilometres (262 500 feet)), Doc 7488-CD, Third Edition, (1993), ISBN 92-9194-004-6. pg E-x Table B
  20. U.S. Committee on Extension to the Standard Atmosphere (COESA) (1976) U.S. Standard Atmosphere, 1976 pg 03 Table 3
  21. 1 2 Wallace, John M. and Peter V. Hobbs. Atmospheric Science; An Introductory Survey.Elsevier. Second Edition, 2006. ISBN 13:978-0-12-732951-2. Chapter 1

External links

This article is issued from Wikipedia - version of the 11/30/2016. The text is available under the Creative Commons Attribution/Share Alike but additional terms may apply for the media files.