Acetyl cyanide
![]() | |
| Names | |
|---|---|
| Preferred IUPAC name
Acetyl cyanide[1] | |
| Systematic IUPAC name
Ethanoyl cyanide | |
| Other names
2-Oxopropanenitrile[1] Pyruvonitrile Propanenitrile 2-oxo- α-Oxopropionitrile Oxopropionitrile Oxypropionitrile Pyruvic acid nitrile 2-Oxopropionitrile 2-Oxopropiononitrile | |
| Identifiers | |
| 631-57-2 | |
| 3D model (Jmol) | Interactive image |
| 1737633 | |
| ChemSpider | 62638 |
| ECHA InfoCard | 100.010.146 |
| EC Number | 211-159-2 |
| |
| |
| Properties | |
| C3H3NO | |
| Molar mass | 69.06 g·mol−1 |
| Appearance | Clear, yellow liquid |
| Density | 0.9745 g/cm3 |
| Boiling point | 92.3 °C (198.1 °F; 365.4 K) |
| Vapor pressure | 51.9300003051758 mmHg |
| Refractive index (nD) |
1.3764 |
| 40.86 Å2 | |
| Hazards | |
| Safety data sheet | External MSDS |
| GHS pictograms | ![]() |
| GHS signal word | Danger |
| H225 H301 H315 H331 H335 H401 H412 | |
| P210 P261 P273 P301+310 P311 | |
| EU classification (DSD) |
|
| R-phrases | R11, R23/25, R51/53, R37/38 |
| S-phrases | S45, S61, S36/37 |
| Ingestion hazard | Toxic if swallowed. |
| Inhalation hazard | Toxic if inhaled. Causes respiratory tract irritation. |
| Eye hazard | Causes eye irritation. |
| Skin hazard | May be harmful if absorbed through skin. Causes skin irritation. |
| NFPA 704 | |
| Flash point | 14.44 °C (57.99 °F; 287.59 K) |
| Except where otherwise noted, data are given for materials in their standard state (at 25 °C [77 °F], 100 kPa). | |
| | |
| Infobox references | |
Acetyl cyanide is a chemical compound that contains both a nitrile and a carbonyl functional group. Therefore, the molecule falls into the cyanide group as well due to the presence of the carbon nitrogen triple bond. This molecule is part of the acyl cyanide family.
This compound is also known as pyruvonitrile or 2-oxopropionitrile.
Properties
Acetyl cyanide typically exists as a clear, colorless liquid.
The structure of acetyl cyanide was determined through the joint use of electron diffraction intensities and rotational constants. These values helped to determine that the average thermal bond distances are 1.116±0.011 Å, 1.167±0.010 Å, 1.208±0.009 Å, 1.477±0.008 Å and 1.518±0.009 Å. Additionally, the bond angles in the structure 124.6±0.7°, 114.2±0.9°, 179.2±2.2° and 109.2±0.7°. This places the single C-C bond at a larger bond distance than the bonds within the vinylacetylene, acrylonitrile and propynal molecules.[2]
Hazards
Acetyl cyanide is a highly flammable compound. Therefore, this compound should be kept away from sources of heat, flames, and sparks.
Acetyl cyanide's toxicological properties have not been thoroughly investigated. However, it is known that the molecule is toxic if inhaled and would cause a respiratory tract irritation. Also the chemical may cause skin irritation if absorbed through the skin. The compound's toxic affects would target the peripheral nervous system, central nervous system, and the blood stream.
While this chemical has not been confirmed to be a carcinogen, exposure to this chemical causes irritation to the respiratory system and skin. Additionally, acetyl cyanide is toxic by both inhalation and ingestion. Furthermore, this compound may be toxic to aquatic organisms, possibly causing long-term adverse effects in the aquatic environment.[3]
Reactions
Due to the flammable properties of this molecule, hazardous decomposition could occur within the molecule under extreme heat, forming chemicals such as carbon oxides and nitrogen oxide. Therefore heat, flame, and sparks should all be kept away from this molecule in order to prevent this decomposition from occurring.
Additionally, this molecule should not interact with strong acids and strong bases to ensure that hazardous reactions are prevented.[4]
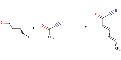
Two main types of reactions can occur with acetyl cyanide as a reactant; aldol condensation and enolate substitution. Aldol condensation can occur when acetyl cyanide reacts with (Z)-but-2-enal to form (2E,4E)-hexa-2,4-dienoyl cyanide:

Enolate substitution can occur when acetyl cyanide reacts with bromomethane to form propanoyl cyanide.[5]
Relatively little data has been collected about the possible thermal and photochemical decompositions and kinetic rearrangements. Acetyl cyanide is one of the few carbonyl compound prototypes for which photochemical and thermal dissociations involving ground and excited state surfaces are extensively studied. Their thermal and photofragmenation dynamics are considered to be different from the frequently studied carbonyl compounds with substituents from the first-row substituents.
For example, formyl cyanide does not undergo unimolecular decomposition to HCN and CO spontaneously. However, acetyl cyanide, also a member of this family, breaks down through this unimolecular decomposition at 470 °C. This reaction occurs through decarbonylation. This division of the molecule to a ketone and hydrogen cyanide were noted to be under competitive circumstances. This caused a study of the thermal unimolecular reactions that acetyl cyanide undergoes.
The unimolecular decompositions that acetyl cyanide undergo have been confirmed to be less energetically favorable than the molecule undergoing isomerization to acetyl isocyanide. However, through other photolysis experiments have resulted in the formation of a CN radical through acetyl cyanide decomposing into CH3CO + CN or CH3COCN.[6]
Synthesis
Acetyl cyanide is a member of the acyl cyanide family. This molecule is catalytically synthesized at 350 °C from ketene and hydrogen cyanide. This is the most thermodynamically stable method of producing this molecule synthetically.[7]
Additionally, this compound can by produced through the hydration of an alkyne through mecuric sulfate catalysis. The reaction shown below displays this occurring from the reagent prop-2-ynenitrile.
Alkyne hydration with this same molecule can occur through hydroboration as well without the presence of a catalyst.[8]
References
- 1 2 Nomenclature of Organic Chemistry : IUPAC Recommendations and Preferred Names 2013 (Blue Book). Cambridge: The Royal Society of Chemistry. 2014. pp. 796–797, 903. doi:10.1039/9781849733069-FP001. ISBN 978-0-85404-182-4.
- ↑ "Molecular structure of acetyl cyanide as studied by gas electron diffraction". Journal of Molecular Structure. 20: 437–448. doi:10.1016/0022-2860(74)85121-5.
- ↑ http://www.sigmaaldrich.com/catalog/product/fluka/16000?lang=en®ion=US[]
- ↑ http://www.sigmaaldrich.com/catalog/product/fluka/16000?lang=en®ion=US[]
- ↑ http://www.chemsink.com/compound/69430/
- ↑ http://www.quantchem.kuleuven.ac.be/minh/Articles/JPCA/jp9724582.pdf[]
- ↑ http://www.quantchem.kuleuven.ac.be/minh/Articles/JPCA/jp9724582.pdf[]
- ↑ http://www.chemsink.com/compound/69430/
- http://www.sciencedirect.com/science/article/pii/0022286074851215
- Lide, David R., W. M. Haynes, and Thomas J. Bruno, eds. CRC Handbook of Chemistry and Physics. 93rd ed. Boca Raton, FL: CRC, 2012. Web. 17 Oct. 2012.
- http://ull.chemistry.uakron.edu/erd/Chemicals/24000/23535.html
- http://www.chemspider.com/Chemical-Structure.62638.html



