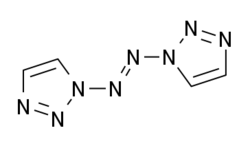
1,1'-Azobis-1,2,3-triazole
![]() | |
![]() | |
| Names | |
|---|---|
| IUPAC name
1,1′-Azobis-1,2,3-triazole | |
| Identifiers | |
| 1354420-07-7 | |
| 3D model (Jmol) | Interactive image |
| ChemSpider | 26234930 26234931 |
| |
| |
| Properties | |
| C4H4N8 | |
| Molar mass | 164.128 g/mol |
| Hazards | |
| Main hazards | Explosive |
| Except where otherwise noted, data are given for materials in their standard state (at 25 °C [77 °F], 100 kPa). | |
| | |
| Infobox references | |
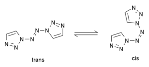
1,1′-Azobis-1,2,3-triazole is a moderately explosive but comparatively stable chemical compound which contains a long continuous chain of nitrogen atoms, with an unbroken chain of eight nitrogen atoms cyclised into two 1,2,3-triazole rings. It is stable up to 194 °C. The compound exhibits cis–trans isomerism at the central azo group: the trans isomer is more stable and is yellow, while the cis isomer is less stable and is blue. The two rings are aromatic and form a conjugated system with the azo linkage. This chromophore allows the trans compound to be isomerised to the cis when treated with an appropriate wavelength of ultraviolet light.[1]

Related compounds
In 2011 Azobis(tetrazole) was prepared by Klapötke and Piercey which has a ten-nitrogen chain.[2] The record was later taken by a N11 chain compound synthesized by a group of Chinese researchers.[3] A branched chain N11 system has also been reported as part of an unstable but highly nitrogen rich azidotetrazole derivative with formula | C=2 | N=14 .[4]
References
- ↑ Li, Y. C.; Qi, C.; Li, S. H.; Zhang, H. J.; Sun, C. H.; Yu, Y. Z.; Pang, S. P. (2010). "1,1′-Azobis-1,2,3-triazole: A High-Nitrogen Compound with Stable N8 Structure and Photochromism". Journal of the American Chemical Society. 132 (35): 12172–3. doi:10.1021/ja103525v. PMID 20715773.
- ↑ Klapötke, Thomas M.; Piercey, Davin G. (2011). "1,1′-Azobis(tetrazole): A Highly Energetic Nitrogen-Rich Compound with a N10 Chain". Inorg. Chem. 50 (7): 2732–2734. doi:10.1021/ic200071q.
- ↑ Tang, Y.; Yang, H.; Wu, B.; Ju, X.; Lu, C.; Cheng, G. (2013). "Synthesis and Characterization of a Stable, Catenated N11Energetic Salt". Angewandte Chemie International Edition. 52 (18): 4875. doi:10.1002/anie.201300117.
- ↑ Klapötke, T. M.; Krumm, B.; Martin, F. A.; Stierstorfer, J. R. (2012). "New Azidotetrazoles: Structurally Interesting and Extremely Sensitive". Chemistry: An Asian Journal. 7: 214. doi:10.1002/asia.201100632.
See also
- HBT (explosive)
- G2ZT
- Diazene
- Azobis(tetrazole)

